TUGAS BESAR KONTROL GARASI
Aplikasi Kontrol Garasi
1. Tujuan [kembali]
- mengetahui bentuk rangkaian mikroprosesor kontrol motor dengan sensor jarak, memori eksternal dan 7-segment
- mengetahui prinsip kerja rangkaian mikroprosesor kontrol motor dengan sensor jarak, memori eksternal dan 7-segment
2. Alat dan Bahan [kembali]
ALAT
3. Dasar Teori[kembali]
- RESISTOR
Resistor merupakan komponen elektronika dasar yang digunakan untuk membatasi jumlah arus yang mengalir dalam satu rangkaian.Sesuai dengan namanya, resistor bersifat resistif dan umumnya terbuat dari bahan karbon. Resistor memiliki simbol seperti gambar dibawah ini :
Resistor mempunyai nilai resistansi (tahanan) tertentu yang dapat memproduksi tegangan listrik di antara kedua pin dimana nilai tegangan terhadap resistansi tersebut berbanding lurus dengan arus yang mengalir, berdasarkan persamaan Hukum OHM :
Seri : Rtotal = R1 + R2 + R3 + ….. + Rn
Paralel: 1/Rtotal = 1/R1 + 1/R2 + 1/R3 + ….. + 1/Rn
- DIODA
Cara Kerja Dioda
Secara sederhana, cara kerja dioda dapat dijelaskan dalam tiga kondisi, yaitu kondisi tanpa tegangan (unbiased), diberikan tegangan positif (forward biased), dan tegangan negatif (reverse biased).
Pada kondisi tidak diberikan tegangan akan terbentuk suatu perbatasan medan listrik pada daerah P-N junction. Hal ini terjadi diawali dengan proses difusi, yaitu bergeraknya muatan elektro dari sisi n ke sisi p. Elektron-elektron tersebut akan menempati suatu tempat di sisi p yang disebut dengan holes. Pergerakan elektron-elektron tersebut akan meninggalkan ion positif di sisi n, dan holes yang terisi dengan elektron akan menimbulkan ion negatif di sisi p. Ion-ion tidak bergerak ini akan membentuk medan listrik statis yang menjadi penghalang pergerakan elektron pada dioda.

Pada kondisi ini, bagian anoda disambungkan dengan terminal positif sumber listrik dan bagian katoda disambungkan dengan terminal negatif. Adanya tegangan eksternal akan mengakibatkan ion-ion yang menjadi penghalang aliran listrik menjadi tertarik ke masing-masing kutub. Ion-ion negatif akan tertarik ke sisi anoda yang positif, dan ion-ion positif akan tertarik ke sisi katoda yang negatif. Hilangnya penghalang-penghalang tersebut akan memungkinkan pergerakan elektron di dalam dioda, sehingga arus listrik dapat mengalir seperti pada rangkaian tertutup.

C. Kondisi tegangan negatif (Reverse-bias)
Pada kondisi ini, bagian anoda disambungkan dengan terminal negatif sumber listrik dan bagian katoda disambungkan dengan terminal positif. Adanya tegangan eksternal akan mengakibatkan ion-ion yang menjadi penghalang aliran listrik menjadi tertarik ke masing-masing kutub. Pemberian tegangan negatif akan membuat ion-ion negatif tertarik ke sisi katoda (n-type) yang diberi tegangan positif, dan ion-ion positif tertarik ke sisi anoda (p-type) yang diberi tegangan negatif. Pergerakan ion-ion tersebut searah dengan medan listrik statis yang menghalangi pergerakan elektron, sehingga penghalang tersebut akan semakin tebal oleh ion-ion. Akibatnya, listrik tidak dapat mengalir melalui dioda dan rangkaian diibaratkan menjadi rangkaian terbuka.

- Relay
Tegangan coil: DC 5V
Struktur: Sealed type
Sensitivitas coil: 0.36W
Tahanan coil: 60-70 ohm
Kapasitas contact: 10A/250VAC, 10A/125VAC, 10A/30VDC, 10A/28VDC
Ukuran: 196154155 mm
Jumlah pin: 5
Konfigurasi Pin
Transistor NPN
Rumus dari Transitor adalah :
hFE = iC/iB
dimana, iC = perubahan arus kolektor
iB = perubahan arus basis
hFE = arus yang dicapai
Karakteristik Input
Transistor adalah komponen aktif yang menggunakan aliran electron sebagai prinsip kerjanya didalam bahan. Sebuah transistor memiliki tiga daerah doped yaitu daerah emitter, daerah basis dan daerah disebut kolektor. Transistor ada dua jenis yaitu NPN dan PNP. Transistor memiliki dua sambungan: satu antara emitter dan basis, dan yang lain antara kolektor dan basis. Karena itu, sebuah transistor seperti dua buah dioda yang saling bertolak belakang yaitu dioda emitter-basis, atau disingkat dengan emitter dioda dan dioda kolektor-basis, atau disingkat dengan dioda kolektor.
Bagian emitter-basis dari transistor merupakan dioda, maka apabila dioda emitter-basis dibias maju maka kita mengharapkan akan melihat grafik arus terhadap tegangan dioda biasa. Saat tegangan dioda emitter-basis lebih kecil dari potensial barriernya, maka arus basis (Ib) akan kecil. Ketika tegangan dioda melebihi potensial barriernya, arus basis (Ib) akan naik secara cepat.
Karakteristik Output
Sebuah transistor memiliki empat daerah operasi yang berbeda yaitu daerah aktif, daerah saturasi, daerah cutoff, dan daerah breakdown. Jika transistor digunakan sebagai penguat, transistor bekerja pada daerah aktif. Jika transistor digunakan pada rangkaian digital, transistor biasanya beroperasi pada daerah saturasi dan cutoff. Daerah breakdown biasanya dihindari karena resiko transistor menjadi hancur terlalu besar.
Gelombang I/O Transistor

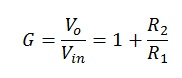
- OP-AMP
Karakteristik IC OpAmp
- Penguatan Tegangan Open-loop atau Av = ∞ (tak terhingga)
- Tegangan Offset Keluaran (Output Offset Voltage) atau Voo = 0 (nol)
- Impedansi Masukan (Input Impedance) atau Zin= ∞ (tak terhingga)
- Impedansi Output (Output Impedance ) atau Zout = 0 (nol)
- Lebar Pita (Bandwidth) atau BW = ∞ (tak terhingga)
- Karakteristik tidak berubah dengan suhu
Karakteristik IC OpAmp
- Penguatan Tegangan Open-loop atau Av = ∞ (tak terhingga)
- Tegangan Offset Keluaran (Output Offset Voltage) atau Voo = 0 (nol)
- Impedansi Masukan (Input Impedance) atau Zin= ∞ (tak terhingga)
- Impedansi Output (Output Impedance ) atau Zout = 0 (nol)
- Lebar Pita (Bandwidth) atau BW = ∞ (tak terhingga)
- Karakteristik tidak berubah dengan suhu
Inverting Amplifier

- Type: Rotary a.k.a Radio POT
- Available in different resistance values like 500Ω, 1K, 2K, 5K, 10K, 22K, 47K, 50K, 100K, 220K, 470K, 500K, 1 M.
- Power Rating: 0.3W
- Maximum Input Voltage: 200Vdc
- Rotational Life: 2000K cycles
Pin No. | Pin Name | Description |
1 | Fixed End | This end is connected to one end of the resistive track |
2 | Variable End | This end is connected to the wiper, to provide variable voltage |
3 | Fixed End | This end is connected to another end of the resistive track |
- Gerbang NOT (IC 7404)
Gerbang NOT atau disebut juga "NOT GATE" atau Inverter (Gerbang Pembalik) adalah jenis gerbang logika yang hanya memiliki satu input (Masukan) dan satu output (keluaran). Dikatakan Inverter (gerbang pembalik) karena gerbang ini akan menghasilkan nilai ouput yang berlawanan dengan nilai inputnya . Untuk lebih jelasnya perhatikan simbol dan tabel kebenaran gerbang NOT berikut.
Gerbang NOT, juga dikenal sebagai inverter, adalah gerbang logika yang menghasilkan keluaran yang kebalikan dari masukan. Pada gerbang logika NOT, simbol yang menandakan operasi gerbang logika NOT adalah tanda minus (-) diatas variabel, perhatikan gambar diatas.
Simbol dan Notasi
- Simbol gerbang NOT biasanya direpresentasikan oleh sebuah segitiga dengan lingkaran di dalamnya atau dengan simbol "bubble" pada simbol logika standar.
- Notasi matematika untuk gerbang NOT dapat disimbolkan sebagai ~A atau A'.
Perhatikan tabel kebenaran gerbang NOT. Cara cepat untuk mengingat tabelnya adalah dengan mengingat pernyataan berikut. "Gerbang NOT akan menghasilkan output (keluaran) logika 1 bila variabel input (masukan) bernilai logika 0" sebalikanya "Gerbang NOT akan menghasilkan keluaran logika 0 bila input (masukan) bernilai logika 1"
Operasi Logika
- Gerbang NOT melakukan operasi kebalikan atau negasi pada masukan.
- Jika masukan adalah logika tinggi (1), keluaran akan menjadi logika rendah (0), dan sebaliknya.
- Decoder (IC 7447)
IC BCD 7447 merupakan IC yang bertujuan mengubah data BCD (Binary Coded Decimal) menjadi suatu data keluaran untuk seven segment. IC 7447 yang bekerja pada tegangan 5V ini khusus untuk menyalakan seven segment dengan konfigurasi common anode. Sedangkan untuk menyalakan tampilan seven segment yang bekerja pada konfigurasi common cathode menggunakan IC BCD 7448.
IC ini sangat membantu untuk meringkas masukan seven segmen dengan jumlah 7 pin, sedangkan jika menggunakan BCD cukup dengan 4 bit masukan. IC BCD bisa juga disebut dengan driver seven segment. Berikut konfigurasi Pin IC 7447.
Spesifikasi dari decoder 7447:
Jumlah pin: 16 pin
Kemasan: DIP
Keluarga: TTL
Tegangan sumber: +5 volt DC
Input: 4 bit BCD (Q0-Q3), aktif HIGH
Output: 7 segmen (A-G, DP), aktif HIGH
Konfigurasi Pin Decoder:
a. Pin Input IC BCD, memiliki fungsi sebagai masukan IC BCD yang terdiri dari 4 Pin, nama pin masukan BCD dilangkan dengan huruf kapital yaitu A, B, C dan D. Pin input berkeja dengan logika High=1.
b. Pin Ouput IC BCD, memiliki fungsi untuk mengaktifkan seven segmen sesuai data yang diolah dari pin input. Pin output berjumlah 7 pin yang namanya dilambangkan dengan aljabar huruf kecil yaitu, b, c, d, e, f dan g. Pin Output bekerja dengan logika low=0. Karena itulah IC 7447 digunakan untuk seven segment common anode.
c. Pin LT (Lamp Test) memiliki fungsi untuk mengaktifkan semua output menjadi aktif low, sehingga semua led pada seven segmen menyala dan menampilkan angka 8. Pin LT akan aktif jika diberi logika low. Pin ini juga digunakan untuk mengetes kondisi LED pada seven segment.
d. Pin RBI (Ripple Blanking Input) memiliki fungsi untuk menahan data input (disable input), pin RBI akan aktif jika diberi logika low. Sehingga seluruh pin output akan berlogika High, dan seven segment tidak aktif.
e. Pin RBO (Ripple blanking Output) memiliki fungsi untuk menahan data output (disable output), pin RBO ini akan aktif jika diberikan logika Low. Sehingga seluruh pin output akan berlogika High, dan seven segment tidak aktif.
Pada aplikasi IC dekoder 7447, ketiga pin (LT, RBI dan RBO) harus diberi logika HIGH=1 agar tidak aktif. Baik IC 7447 atau 7448 pada bagian output perlu dipasang resistor untuk membatasi arus yang keluar sehingga led pada seven segment bekerja secara optimal. Berikut ini rangkaian IC dekoder 7448 untuk konfigurasi seven segment common cathode.
- Encoder 74147
- 7 Segment Anoda
Seven segment merupakan bagian-bagian yang digunakan untuk menampilkan angka atau bilangan decimal. Seven segment tersebut terbagi menjadi 7 batang LED yang disusun membentuk angka 8 dengan menggunakan huruf a-f yang disebut DOT MATRIKS. Setiap segment ini terdiri dari 1 atau 2 LED (Light Emitting Dioda). Seven segment bisa menunjukan angka-angka desimal serta beberapa bentuk tertentu melalui gabungan aktif atau tidaknya LED penyususnan dalam seven segment.
Supaya memudahkan penggunaannnya biasanya memakai sebuah sebuah seven segment driver yang akan mengatur aktif atau tidaknya led-led dalam seven segment sesuai dengan inputan biner yang diberikan. Bentuk tampilan modern disusun sebagai metode 7 bagian atau dot matriks. Jenis tersebut sama dengan namanya, menggunakan sistem tujuh batang led yang dilapis membentuk angka 8 seperti yang ditunjukkan pada gambar di atas. Huruf yang dilihatkan dalam gambar itu ditetapkan untuk menandai bagian-bagian tersebut.
Dengan menyalakan beberapa segmen yang sesuai, akan dapat diperagakan digit-digit dari 0 sampai 9, dan juga bentuk huruf A sampai F (dimodifikasi). Sinyal input dari switches tidak dapat langsung dikirimkan ke peraga 7 bagian, sehingga harus menggunakan decoder BCD (Binary Code Decimal) ke 7 segmen sebagai antar muka. Decoder tersebut terbentuk dari pintu-pintu akal yang masukannya berbetuk digit BCD dan keluarannya berupa saluran-saluran untuk mengemudikan tampilan 7 segmen.
Tabel Pengaktifan Seven Segment Display
A. Spesifikasi
- Available in two modes Common Cathode (CC) and Common Anode (CA)
- Available in many different sizes like 9.14mm,14.20mm,20.40mm,38.10mm,57.0mm and 100mm (Commonly used/available size is 14.20mm)
- Available colours: White, Blue, Red, Yellow and Green (Res is commonly used)
- Low current operation
- Better, brighter and larger display than conventional LCD displays.
- Current consumption : 30mA / segment
- Peak current : 70mA
B. Konfigurasi pin
Pin Number | Pin Name | Description |
1 | e | Controls the left bottom LED of the 7-segment display |
2 | d | Controls the bottom most LED of the 7-segment display |
3 | Com | Connected to Ground/Vcc based on type of display |
4 | c | Controls the right bottom LED of the 7-segment display |
5 | DP | Controls the decimal point LED of the 7-segment display |
6 | b | Controls the top right LED of the 7-segment display |
7 | a | Controls the top most LED of the 7-segment display |
8 | Com | Connected to Ground/Vcc based on type of display |
9 | f | Controls the top left LED of the 7-segment display |
10 | g | Controls the middle LED of the 7-segment display |
- Light Emitting Code (LED)
Light Emitting Diode atau sering disingkat dengan LED adalah komponen elektronika yang dapat memancarkan cahaya monokromatik ketika diberikan tegangan maju. LED merupakan keluarga Dioda yang terbuat dari bahan semikonduktor. Warna-warna Cahaya yang dipancarkan oleh LED tergantung pada jenis bahan semikonduktor yang dipergunakannya. LED juga dapat memancarkan sinar inframerah yang tidak tampak oleh mata seperti yang sering kita jumpai pada Remote Control TV ataupun Remote Control perangkat elektronik lainnya.
Bentuk LED mirip dengan sebuah bohlam (bola lampu) yang kecil dan dapat dipasangkan dengan mudah ke dalam berbagai perangkat elektronika. Berbeda dengan Lampu Pijar, LED tidak memerlukan pembakaran filamen sehingga tidak menimbulkan panas dalam menghasilkan cahaya. Oleh karena itu, saat ini LED (Light Emitting Diode) yang bentuknya kecil telah banyak digunakan sebagai lampu penerang dalam LCD TV yang mengganti lampu tube.
- Light Emitting Code (LED)
Simbol dan Bentuk LED (Light Emitting Diode)
Seperti dikatakan sebelumnya, LED merupakan keluarga dari Dioda yang terbuat dari Semikonduktor. Cara kerjanya pun hampir sama dengan Dioda yang memiliki dua kutub yaitu kutub Positif (P) dan Kutub Negatif (N). LED hanya akan memancarkan cahaya apabila dialiri tegangan maju (bias forward) dari Anoda menuju ke Katoda.
LED terdiri dari sebuah chip semikonduktor yang di doping sehingga menciptakan junction P dan N. Yang dimaksud dengan proses doping dalam semikonduktor adalah proses untuk menambahkan ketidakmurnian (impurity) pada semikonduktor yang murni sehingga menghasilkan karakteristik kelistrikan yang diinginkan. Ketika LED dialiri tegangan maju atau bias forward yaitu dari Anoda (P) menuju ke Katoda (K), Kelebihan Elektron pada N-Type material akan berpindah ke wilayah yang kelebihan Hole (lubang) yaitu wilayah yang bermuatan positif (P-Type material). Saat Elektron berjumpa dengan Hole akan melepaskan photon dan memancarkan cahaya monokromatik (satu warna).
LED atau Light Emitting Diode yang memancarkan cahaya ketika dialiri tegangan maju ini juga dapat digolongkan sebagai Transduser yang dapat mengubah energi listrik menjadi energi cahaya.
LED adalah suatu perangkat semikonduktor yang menghasilkan cahaya saat diberikan arus listrik. Cahaya dihasilkan karena elektron-elektron dalam bahan semikonduktor bergerak antara tingkat energi yang berbeda dan melepaskan energi dalam bentuk foton cahaya. LED memiliki dua terminal: anoda (positif) dan katoda (negatif). Arus listrik mengalir dari anoda ke katoda dan menyebabkan cahaya dihasilkan. Warna cahaya yang dihasilkan oleh LED tergantung pada bahan semikonduktor yang digunakan. Contoh warna LED termasuk merah, hijau, biru, kuning, dan lainnya.
Spesifikasi:
- Tegangan Operasi (V<sub>f</sub>): Tegangan yang dibutuhkan untuk menyalakan LED.
- Arus Operasi (I<sub>f</sub>): Arus yang dibutuhkan untuk operasi normal LED.
- Daya Operasi (P<sub>f</sub>): Daya yang dikonsumsi oleh LED saat beroperasi.
- Efisiensi Luminositas: Rasio cahaya yang dihasilkan terhadap daya yang dikonsumsi.
- Panjang Gelombang (λ): Panjang gelombang cahaya yang dihasilkan oleh LED.
Jenis-jenis LED
1. LED Berlian (Standard LED): Digunakan untuk indikator dan pencahayaan umum.
2. LED High Power: Menghasilkan cahaya yang lebih terang, sering digunakan dalam aplikasi penerangan.
3. LED RGB (Red, Green, Blue):Menggabungkan beberapa warna untuk menciptakan berbagai warna cahaya.
Tegangan kerja LED adalah tegangan yang diperlukan untuk menyalakan LED. Tegangan kerja LED bervariasi tergantung pada jenis LED. Arus kerja LED adalah arus yang mengalir melalui LED saat LED menyala. Arus kerja LED bervariasi tergantung pada jenis LED. Luminansi LED adalah jumlah cahaya yang dipancarkan oleh LED. Luminansi LED bervariasi tergantung pada jenis LED. Sudut pencahayaan LED adalah sudut di mana cahaya dari LED menyebar. Sudut pencahayaan LED bervariasi tergantung pada jenis LED. Daya tahan LED adalah jumlah waktu yang dapat bertahan LED sebelum mulai melemah. Daya tahan LED bervariasi tergantung pada jenis LED. Biaya LED bervariasi tergantung pada jenis LED.
LED memiliki berbagai keunggulan dibandingkan dengan lampu konvensional, termasuk:
- Efisiensi energi: LED jauh lebih efisien daripada lampu konvensional, sehingga dapat menghemat energi.
- Daya tahan: LED jauh lebih tahan lama daripada lampu konvensional, sehingga dapat menghemat biaya penggantian lampu.
- Ukuran: LED dapat dibuat berukuran sangat kecil, sehingga dapat digunakan dalam berbagai aplikasi.
- Warna: LED dapat menghasilkan berbagai warna, sehingga dapat digunakan untuk berbagai keperluan.
- Logic State
Gerbang logika atau logic State adalah suatu entitas dalam elektronika dan matematika Boolean yang mengubah satu atau beberapa masukan logik menjadi sebuah sinyal keluaran logik. Gerbang Logika beroperasi berdasarkan sistem bilangan biner yaitu bilangan yang hanya memiliki 2 kode simbol yakni 0 dan 1 dengan menggunakan Teori Aljabar Boolean.
Status logika Pengertian logis, benar atau salah, dari sinyal biner yang diberikan. Sinyal biner adalah sinyal digital yang hanya memiliki dua nilai yang valid. Dalam istilah fisik, pengertian logis dari sinyal biner ditentukan oleh level tegangan atau nilai arus sinyal, dan ini pada gilirannya ditentukan oleh teknologi perangkat. Dalam sirkuit TTL, misalnya, keadaan sebenarnya diwakili oleh logika 1, kira-kira sama dengan +5 volt pada garis sinyal; logika 0 kira-kira 0 volt. Tingkat tegangan antara 0 dan +5 volt dianggap tidak ditentukan.
Logic State merujuk pada kondisi atau keadaan suatu sirkuit logika pada suatu waktu tertentu. Dalam sistem digital, Logic State dapat berupa logika tinggi (1) atau logika rendah (0).
Sistem logika digital umumnya menggunakan notasi biner, di mana 1 mengindikasikan logika tinggi (biasanya tegangan tinggi), dan 0 mengindikasikan logika rendah (biasanya tegangan rendah).
Level logika tinggi dan rendah ditentukan oleh batas tegangan tertentu pada suatu sirkuit logika. Contoh, dalam sistem yang menggunakan tegangan 0-5V, mungkin level logika tinggi adalah di atas 2,5V, dan level logika rendah di bawah 2,5V.
Spesifikasi Logic State
1. Tegangan Logic High (V<sub>OH</sub>): Nilai tegangan yang dianggap sebagai logika tinggi.
2. Tegangan Logic Low (V<sub>OL</sub>): Nilai tegangan yang dianggap sebagai logika rendah.
3. Arus Logic High (I<sub>OH</sub>): Arus yang mengalir saat output logika tinggi.
4. Arus Logic Low (I<sub>OL</sub>): Arus yang mengalir saat output logika rendah.
Sirkuit logika dapat terdiri dari gerbang logika dasar (AND, OR, NOT) atau flip-flop yang membentuk sirkuit lebih kompleks. Konfigurasi sirkuit logika dapat menggabungkan gerbang logika untuk melakukan fungsi yang lebih kompleks.
Logic state digunakan untuk mewakili data digital, seperti angka, huruf, dan simbol. Logic state juga digunakan untuk mengendalikan operasi dari perangkat digital, seperti komputer, ponsel, dan mesin industri.
Dalam elektronika digital, terdapat dua logic state, yaitu logic 0 dan logic 1.
- Logic 0 direpresentasikan oleh tegangan rendah, biasanya 0 volt atau 0,5 volt.
- Logic 1 direpresentasikan oleh tegangan tinggi, biasanya 5 volt atau 2,5 volt.
Logic state dapat direpresentasikan dengan berbagai cara, termasuk:
- Tegangan: Logic 0 direpresentasikan oleh tegangan rendah, dan logic 1 direpresentasikan oleh tegangan tinggi.
- Arus: Logic 0 direpresentasikan oleh arus rendah, dan logic 1 direpresentasikan oleh arus tinggi.
- Frekuensi: Logic 0 direpresentasikan oleh frekuensi rendah, dan logic 1 direpresentasikan oleh frekuensi tinggi.
- Waktu: Logic 0 direpresentasikan oleh waktu rendah, dan logic 1 direpresentasikan oleh waktu tinggi.
Logic state digunakan untuk mewakili data digital. Data digital adalah data yang terdiri dari angka 0 dan 1. Data digital dapat digunakan untuk mewakili berbagai informasi, seperti angka, huruf, simbol, dan gambar.
Logic state juga digunakan untuk mengendalikan operasi dari perangkat digital. Perangkat digital, seperti komputer, ponsel, dan mesin industri, menggunakan logic state untuk melakukan perhitungan, kontrol, dan komunikasi.
Berikut adalah beberapa contoh penggunaan logic state:
- Dalam komputer, logic state digunakan untuk mewakili data digital, seperti angka, huruf, dan simbol. Logic state juga digunakan untuk mengendalikan operasi dari komputer, seperti perhitungan, kontrol, dan komunikasi.
- Dalam ponsel, logic state digunakan untuk mewakili data digital, seperti angka, huruf, dan simbol. Logic state juga digunakan untuk mengendalikan operasi dari ponsel, seperti panggilan telepon, pengiriman pesan, dan akses internet.
- Dalam mesin industri, logic state digunakan untuk mengendalikan operasi dari mesin, seperti mesin produksi, mesin pengolahan, dan mesin transportasi.
Logic state adalah konsep dasar yang penting dalam elektronika digital. Logic state digunakan untuk mewakili data digital, mengendalikan operasi dari perangkat digital, dan berbagai keperluan lainnya.
- Motor DC
Terdapat dua bagian utama pada sebuah Motor Listrik DC, yaitu Stator dan Rotor. Stator adalah bagian motor yang tidak berputar, bagian yang statis ini terdiri dari rangka dan kumparan medan. Sedangkan Rotor adalah bagian yang berputar, bagian Rotor ini terdiri dari kumparan Jangkar. Dua bagian utama ini dapat dibagi lagi menjadi beberapa komponen penting yaitu diantaranya adalah Yoke (kerangka magnet), Poles (kutub motor), Field winding (kumparan medan magnet), ArmatureWinding (Kumparan Jangkar), Commutator (Komutator)dan Brushes (kuas/sikat arang).
Pada prinsipnya motor listrik DC menggunakan fenomena elektromagnet untuk bergerak, ketika arus listrik diberikan ke kumparan, permukaan kumparan yang bersifat utara akan bergerak menghadap ke magnet yang berkutub selatan dan kumparan yang bersifat selatan akan bergerak menghadap ke utara magnet. Saat ini, karena kutub utara kumparan bertemu dengan kutub selatan magnet ataupun kutub selatan kumparan bertemu dengan kutub utara magnet maka akan terjadi saling tarik menarik yang menyebabkan pergerakan kumparan berhenti
Untuk menggerakannya lagi, tepat pada saat kutub kumparan berhadapan dengan kutub magnet, arah arus pada kumparan dibalik. Dengan demikian, kutub utara kumparan akan berubah menjadi kutub selatan dan kutub selatannya akan berubah menjadi kutub utara. Pada saat perubahan kutub tersebut terjadi, kutub selatan kumparan akan berhadap dengan kutub selatan magnet dan kutub utara kumparan akan berhadapan dengan kutub utara magnet. Karena kutubnya sama, maka akan terjadi tolak menolak sehingga kumparan bergerak memutar hingga utara kumparan berhadapan dengan selatan magnet dan selatan kumparan berhadapan dengan utara magnet. Pada saat ini, arus yang mengalir ke kumparan dibalik lagi dan kumparan akan berputar lagi karena adanya perubahan kutub. Siklus ini akan berulang-ulang hingga arus listrik pada kumparan diputuskan.
Konfigurasi Pin
Pin 1 : Terminal 1Pin 2 : Terminal 2
Spesifikasi Motor DC
Prinsip kerja motor DC adalah berdasarkan interaksi antara medan magnet stator dan medan magnet rotor. Ketika arus listrik mengalir melalui kumparan stator, maka akan menghasilkan medan magnet. Medan magnet stator ini akan berinteraksi dengan medan magnet rotor. Interaksi ini akan menghasilkan gaya yang menyebabkan rotor berputar.
Kecepatan putar motor DC dapat diatur dengan mengubah tegangan atau arus yang mengalir melalui kumparan kendali.
Berikut adalah beberapa jenis motor DC:
- Motor DC seri: Motor DC seri adalah jenis motor DC yang paling sederhana. Motor DC seri memiliki kumparan medan dan kumparan kendali yang dirangkai secara seri. Motor DC seri memiliki torsi yang tinggi, tetapi kecepatannya terbatas.
- Motor DC shunt: Motor DC shunt adalah jenis motor DC yang memiliki kumparan medan dan kumparan kendali yang dirangkai secara paralel. Motor DC shunt memiliki torsi yang lebih rendah daripada motor DC seri, tetapi kecepatannya lebih tinggi.
- Motor DC compound: Motor DC compound adalah jenis motor DC yang memiliki kumparan medan dan kumparan kendali yang dirangkai secara seri dan paralel. Motor DC compound memiliki torsi yang tinggi dan kecepatan yang tinggi.
Motor DC memiliki berbagai keunggulan, antara lain:
- Efisien: Motor DC memiliki efisiensi yang tinggi, yaitu sekitar 80%.
- Kontrol yang mudah: Motor DC dapat dikontrol dengan mudah dengan mengubah tegangan atau arus yang mengalir melalui kumparan kendali.
- Biaya yang rendah: Motor DC memiliki biaya yang relatif rendah.
Namun, motor DC juga memiliki beberapa kelemahan, antara lain:
- Berat: Motor DC memiliki berat yang lebih berat daripada motor AC.
- Ukuran: Motor DC memiliki ukuran yang lebih besar daripada motor AC.
- Ruis: Motor DC menghasilkan bunyi yang lebih bising daripada motor AC.
Motor DC banyak digunakan dalam berbagai peralatan, antara lain:
- Alat transportasi: Motor DC digunakan sebagai penggerak mobil listrik, motor skuter listrik, dan motor sepeda listrik.
- Peralatan industri: Motor DC digunakan sebagai penggerak mesin produksi, mesin pengolahan, dan mesin transportasi.
- Peralatan rumah tangga: Motor DC digunakan sebagai penggerak kipas angin, mesin cuci, dan blender.
Seperti dikatakan sebelumnya, LED merupakan keluarga dari Dioda yang terbuat dari Semikonduktor. Cara kerjanya pun hampir sama dengan Dioda yang memiliki dua kutub yaitu kutub Positif (P) dan Kutub Negatif (N). LED hanya akan memancarkan cahaya apabila dialiri tegangan maju (bias forward) dari Anoda menuju ke Katoda.
LED terdiri dari sebuah chip semikonduktor yang di doping sehingga menciptakan junction P dan N. Yang dimaksud dengan proses doping dalam semikonduktor adalah proses untuk menambahkan ketidakmurnian (impurity) pada semikonduktor yang murni sehingga menghasilkan karakteristik kelistrikan yang diinginkan. Ketika LED dialiri tegangan maju atau bias forward yaitu dari Anoda (P) menuju ke Katoda (K), Kelebihan Elektron pada N-Type material akan berpindah ke wilayah yang kelebihan Hole (lubang) yaitu wilayah yang bermuatan positif (P-Type material). Saat Elektron berjumpa dengan Hole akan melepaskan photon dan memancarkan cahaya monokromatik (satu warna).
LED atau Light Emitting Diode yang memancarkan cahaya ketika dialiri tegangan maju ini juga dapat digolongkan sebagai Transduser yang dapat mengubah energi listrik menjadi energi cahaya.
LED adalah suatu perangkat semikonduktor yang menghasilkan cahaya saat diberikan arus listrik. Cahaya dihasilkan karena elektron-elektron dalam bahan semikonduktor bergerak antara tingkat energi yang berbeda dan melepaskan energi dalam bentuk foton cahaya. LED memiliki dua terminal: anoda (positif) dan katoda (negatif). Arus listrik mengalir dari anoda ke katoda dan menyebabkan cahaya dihasilkan. Warna cahaya yang dihasilkan oleh LED tergantung pada bahan semikonduktor yang digunakan. Contoh warna LED termasuk merah, hijau, biru, kuning, dan lainnya.
Spesifikasi:
- Tegangan Operasi (V<sub>f</sub>): Tegangan yang dibutuhkan untuk menyalakan LED.
- Arus Operasi (I<sub>f</sub>): Arus yang dibutuhkan untuk operasi normal LED.
- Daya Operasi (P<sub>f</sub>): Daya yang dikonsumsi oleh LED saat beroperasi.
- Efisiensi Luminositas: Rasio cahaya yang dihasilkan terhadap daya yang dikonsumsi.
- Panjang Gelombang (λ): Panjang gelombang cahaya yang dihasilkan oleh LED.
Jenis-jenis LED
1. LED Berlian (Standard LED): Digunakan untuk indikator dan pencahayaan umum.
2. LED High Power: Menghasilkan cahaya yang lebih terang, sering digunakan dalam aplikasi penerangan.
3. LED RGB (Red, Green, Blue):Menggabungkan beberapa warna untuk menciptakan berbagai warna cahaya.
Tegangan kerja LED adalah tegangan yang diperlukan untuk menyalakan LED. Tegangan kerja LED bervariasi tergantung pada jenis LED. Arus kerja LED adalah arus yang mengalir melalui LED saat LED menyala. Arus kerja LED bervariasi tergantung pada jenis LED. Luminansi LED adalah jumlah cahaya yang dipancarkan oleh LED. Luminansi LED bervariasi tergantung pada jenis LED. Sudut pencahayaan LED adalah sudut di mana cahaya dari LED menyebar. Sudut pencahayaan LED bervariasi tergantung pada jenis LED. Daya tahan LED adalah jumlah waktu yang dapat bertahan LED sebelum mulai melemah. Daya tahan LED bervariasi tergantung pada jenis LED. Biaya LED bervariasi tergantung pada jenis LED.
LED memiliki berbagai keunggulan dibandingkan dengan lampu konvensional, termasuk:
- Efisiensi energi: LED jauh lebih efisien daripada lampu konvensional, sehingga dapat menghemat energi.
- Daya tahan: LED jauh lebih tahan lama daripada lampu konvensional, sehingga dapat menghemat biaya penggantian lampu.
- Ukuran: LED dapat dibuat berukuran sangat kecil, sehingga dapat digunakan dalam berbagai aplikasi.
- Warna: LED dapat menghasilkan berbagai warna, sehingga dapat digunakan untuk berbagai keperluan.
- Logic State
Status logika Pengertian logis, benar atau salah, dari sinyal biner yang diberikan. Sinyal biner adalah sinyal digital yang hanya memiliki dua nilai yang valid. Dalam istilah fisik, pengertian logis dari sinyal biner ditentukan oleh level tegangan atau nilai arus sinyal, dan ini pada gilirannya ditentukan oleh teknologi perangkat. Dalam sirkuit TTL, misalnya, keadaan sebenarnya diwakili oleh logika 1, kira-kira sama dengan +5 volt pada garis sinyal; logika 0 kira-kira 0 volt. Tingkat tegangan antara 0 dan +5 volt dianggap tidak ditentukan.
Logic State merujuk pada kondisi atau keadaan suatu sirkuit logika pada suatu waktu tertentu. Dalam sistem digital, Logic State dapat berupa logika tinggi (1) atau logika rendah (0).
Sistem logika digital umumnya menggunakan notasi biner, di mana 1 mengindikasikan logika tinggi (biasanya tegangan tinggi), dan 0 mengindikasikan logika rendah (biasanya tegangan rendah).
Level logika tinggi dan rendah ditentukan oleh batas tegangan tertentu pada suatu sirkuit logika. Contoh, dalam sistem yang menggunakan tegangan 0-5V, mungkin level logika tinggi adalah di atas 2,5V, dan level logika rendah di bawah 2,5V.
Spesifikasi Logic State
1. Tegangan Logic High (V<sub>OH</sub>): Nilai tegangan yang dianggap sebagai logika tinggi.
2. Tegangan Logic Low (V<sub>OL</sub>): Nilai tegangan yang dianggap sebagai logika rendah.
3. Arus Logic High (I<sub>OH</sub>): Arus yang mengalir saat output logika tinggi.
4. Arus Logic Low (I<sub>OL</sub>): Arus yang mengalir saat output logika rendah.
Sirkuit logika dapat terdiri dari gerbang logika dasar (AND, OR, NOT) atau flip-flop yang membentuk sirkuit lebih kompleks. Konfigurasi sirkuit logika dapat menggabungkan gerbang logika untuk melakukan fungsi yang lebih kompleks.
Logic state digunakan untuk mewakili data digital, seperti angka, huruf, dan simbol. Logic state juga digunakan untuk mengendalikan operasi dari perangkat digital, seperti komputer, ponsel, dan mesin industri.
Dalam elektronika digital, terdapat dua logic state, yaitu logic 0 dan logic 1.
- Logic 0 direpresentasikan oleh tegangan rendah, biasanya 0 volt atau 0,5 volt.
- Logic 1 direpresentasikan oleh tegangan tinggi, biasanya 5 volt atau 2,5 volt.
Logic state dapat direpresentasikan dengan berbagai cara, termasuk:
- Tegangan: Logic 0 direpresentasikan oleh tegangan rendah, dan logic 1 direpresentasikan oleh tegangan tinggi.
- Arus: Logic 0 direpresentasikan oleh arus rendah, dan logic 1 direpresentasikan oleh arus tinggi.
- Frekuensi: Logic 0 direpresentasikan oleh frekuensi rendah, dan logic 1 direpresentasikan oleh frekuensi tinggi.
- Waktu: Logic 0 direpresentasikan oleh waktu rendah, dan logic 1 direpresentasikan oleh waktu tinggi.
Logic state digunakan untuk mewakili data digital. Data digital adalah data yang terdiri dari angka 0 dan 1. Data digital dapat digunakan untuk mewakili berbagai informasi, seperti angka, huruf, simbol, dan gambar.
Logic state juga digunakan untuk mengendalikan operasi dari perangkat digital. Perangkat digital, seperti komputer, ponsel, dan mesin industri, menggunakan logic state untuk melakukan perhitungan, kontrol, dan komunikasi.
Berikut adalah beberapa contoh penggunaan logic state:
- Dalam komputer, logic state digunakan untuk mewakili data digital, seperti angka, huruf, dan simbol. Logic state juga digunakan untuk mengendalikan operasi dari komputer, seperti perhitungan, kontrol, dan komunikasi.
- Dalam ponsel, logic state digunakan untuk mewakili data digital, seperti angka, huruf, dan simbol. Logic state juga digunakan untuk mengendalikan operasi dari ponsel, seperti panggilan telepon, pengiriman pesan, dan akses internet.
- Dalam mesin industri, logic state digunakan untuk mengendalikan operasi dari mesin, seperti mesin produksi, mesin pengolahan, dan mesin transportasi.
Logic state adalah konsep dasar yang penting dalam elektronika digital. Logic state digunakan untuk mewakili data digital, mengendalikan operasi dari perangkat digital, dan berbagai keperluan lainnya.
- Motor DC
Terdapat dua bagian utama pada sebuah Motor Listrik DC, yaitu Stator dan Rotor. Stator adalah bagian motor yang tidak berputar, bagian yang statis ini terdiri dari rangka dan kumparan medan. Sedangkan Rotor adalah bagian yang berputar, bagian Rotor ini terdiri dari kumparan Jangkar. Dua bagian utama ini dapat dibagi lagi menjadi beberapa komponen penting yaitu diantaranya adalah Yoke (kerangka magnet), Poles (kutub motor), Field winding (kumparan medan magnet), ArmatureWinding (Kumparan Jangkar), Commutator (Komutator)dan Brushes (kuas/sikat arang).
Pada prinsipnya motor listrik DC menggunakan fenomena elektromagnet untuk bergerak, ketika arus listrik diberikan ke kumparan, permukaan kumparan yang bersifat utara akan bergerak menghadap ke magnet yang berkutub selatan dan kumparan yang bersifat selatan akan bergerak menghadap ke utara magnet. Saat ini, karena kutub utara kumparan bertemu dengan kutub selatan magnet ataupun kutub selatan kumparan bertemu dengan kutub utara magnet maka akan terjadi saling tarik menarik yang menyebabkan pergerakan kumparan berhenti
Untuk menggerakannya lagi, tepat pada saat kutub kumparan berhadapan dengan kutub magnet, arah arus pada kumparan dibalik. Dengan demikian, kutub utara kumparan akan berubah menjadi kutub selatan dan kutub selatannya akan berubah menjadi kutub utara. Pada saat perubahan kutub tersebut terjadi, kutub selatan kumparan akan berhadap dengan kutub selatan magnet dan kutub utara kumparan akan berhadapan dengan kutub utara magnet. Karena kutubnya sama, maka akan terjadi tolak menolak sehingga kumparan bergerak memutar hingga utara kumparan berhadapan dengan selatan magnet dan selatan kumparan berhadapan dengan utara magnet. Pada saat ini, arus yang mengalir ke kumparan dibalik lagi dan kumparan akan berputar lagi karena adanya perubahan kutub. Siklus ini akan berulang-ulang hingga arus listrik pada kumparan diputuskan.
Prinsip kerja motor DC adalah berdasarkan interaksi antara medan magnet stator dan medan magnet rotor. Ketika arus listrik mengalir melalui kumparan stator, maka akan menghasilkan medan magnet. Medan magnet stator ini akan berinteraksi dengan medan magnet rotor. Interaksi ini akan menghasilkan gaya yang menyebabkan rotor berputar.
Kecepatan putar motor DC dapat diatur dengan mengubah tegangan atau arus yang mengalir melalui kumparan kendali.
Berikut adalah beberapa jenis motor DC:
- Motor DC seri: Motor DC seri adalah jenis motor DC yang paling sederhana. Motor DC seri memiliki kumparan medan dan kumparan kendali yang dirangkai secara seri. Motor DC seri memiliki torsi yang tinggi, tetapi kecepatannya terbatas.
- Motor DC shunt: Motor DC shunt adalah jenis motor DC yang memiliki kumparan medan dan kumparan kendali yang dirangkai secara paralel. Motor DC shunt memiliki torsi yang lebih rendah daripada motor DC seri, tetapi kecepatannya lebih tinggi.
- Motor DC compound: Motor DC compound adalah jenis motor DC yang memiliki kumparan medan dan kumparan kendali yang dirangkai secara seri dan paralel. Motor DC compound memiliki torsi yang tinggi dan kecepatan yang tinggi.
- Efisien: Motor DC memiliki efisiensi yang tinggi, yaitu sekitar 80%.
- Kontrol yang mudah: Motor DC dapat dikontrol dengan mudah dengan mengubah tegangan atau arus yang mengalir melalui kumparan kendali.
- Biaya yang rendah: Motor DC memiliki biaya yang relatif rendah.
Namun, motor DC juga memiliki beberapa kelemahan, antara lain:
- Berat: Motor DC memiliki berat yang lebih berat daripada motor AC.
- Ukuran: Motor DC memiliki ukuran yang lebih besar daripada motor AC.
- Ruis: Motor DC menghasilkan bunyi yang lebih bising daripada motor AC.
Motor DC banyak digunakan dalam berbagai peralatan, antara lain:
- Alat transportasi: Motor DC digunakan sebagai penggerak mobil listrik, motor skuter listrik, dan motor sepeda listrik.
- Peralatan industri: Motor DC digunakan sebagai penggerak mesin produksi, mesin pengolahan, dan mesin transportasi.
- Peralatan rumah tangga: Motor DC digunakan sebagai penggerak kipas angin, mesin cuci, dan blender.
- Voltmeter
Volt meter DC merupakan alat ukur yang berfungsi untuk mengetahui beda potensial tegangan DC antara 2 titik pada suatu beban listrik atau rangkaian elektronika. Voltmeter adalah alat ukur yang digunakan untuk mengukur beda potensial atau tegangan listrik dari dua titik potensial listrik. Pada peralatan elektronik, voltmeter digunakan sebagai pengawasan nilai tegangan kerja.Berdasarkan jenisnya, voltmeter dapat dibagi menjadi dua, yaitu:
- Voltmeter Analog: Voltmeter analog adalah voltmeter yang menunjukkan hasil pengukurannya secara analog, yaitu dengan menggunakan jarum penunjuk. Voltmeter analog memiliki akurasi yang lebih rendah daripada voltmeter digital.
- Voltmeter Digital: Voltmeter digital adalah voltmeter yang menunjukkan hasil pengukurannya secara digital, yaitu dengan menggunakan angka. Voltmeter digital memiliki akurasi yang lebih tinggi daripada voltmeter analog.
Prinsip kerja voltmeter
Prinsip kerja voltmeter adalah berdasarkan prinsip kerja galvanometer. Galvanometer adalah alat ukur yang digunakan untuk mengukur arus listrik.
Voltmeter terdiri dari dua bagian utama, yaitu:
- Galvanometer: Galvanometer adalah alat ukur yang digunakan untuk mengukur arus listrik.
- Resistor: Resistor adalah komponen elektronika yang digunakan untuk membatasi arus listrik.
Pada voltmeter analog, galvanometer dihubungkan secara seri dengan resistor. Besarnya arus listrik yang mengalir melalui galvanometer akan sebanding dengan beda potensial yang diukur. Jarum penunjuk akan bergerak sesuai dengan besarnya arus listrik yang mengalir melalui galvanometer.
Pada voltmeter digital, galvanometer dihubungkan secara paralel dengan resistor. Besarnya arus listrik yang mengalir melalui galvanometer akan sebanding dengan beda potensial yang diukur. Nilai beda potensial kemudian dikonversi menjadi angka digital dan ditampilkan pada layar.
Cara menggunakan voltmeter
Untuk menggunakan voltmeter, langkah-langkahnya adalah sebagai berikut:
- Hubungkan voltmeter ke sumber tegangan yang akan diukur.
- Atur skala pengukuran voltmeter sesuai dengan tegangan yang akan diukur.
- Baca hasil pengukuran pada layar voltmeter.
- Infrared Sensor
Sensor infra red adalah perangkat elektronik, yang memancarkan cahaya dari
led dan cahaya diterima oleh photodioda. Sensor ini juga dapat mendeteksi panas
serta pergerakan pada benda. Jenis sensor ini hanya mengukur radiasi pancaran.
Biasanya benda yang dipancarkan memiliki pengaruh panas yang berbeda
terhadap sensor. Sinyal yang dipancarkan oleh transmitter diterima oleh receiver
infra red dan kemudian didecodekan sebagai sebuah paket data biner.
Sensor infra red adalah perangkat elektronik, yang memancarkan cahaya dari
led dan cahaya diterima oleh photodioda. Sensor ini juga dapat mendeteksi panas
serta pergerakan pada benda. Jenis sensor ini hanya mengukur radiasi pancaran.
Biasanya benda yang dipancarkan memiliki pengaruh panas yang berbeda
terhadap sensor. Sinyal yang dipancarkan oleh transmitter diterima oleh receiver
infra red dan kemudian didecodekan sebagai sebuah paket data biner.
Infrared
(IR) detektor atau sensor infra merah adalah komponen elektronika yang
dapat mengidentifikasi cahaya infra merah (infrared, IR). Sensor infra
merah atau detektor infra merah saat ini ada yang dibuat khusus dalam
satu modul dan dinamakan sebagai IR Detector Photomodules. IR Detector
Photomodules merupakan sebuah chip detektor inframerah digital yang di
dalamnya terdapat fotodiode dan penguat (amplifier). Bentuk dan
Konfigurasi Pin IR Detector Photomodules TSOP.
Spesifikasi5VDC Operating voltage
I/O pins are 5V and 3.3V compliant
Range: Up to 20cm
Adjustable Sensing range
Built-in Ambient Light Sensor
20mA supply current
Mounting hole
Size: 50 x 20 x 10 mm (L x B x H)
Hole size: φ2.5mm
Konfigurasi
pin infra red (IR) receiver atau penerima infra merah tipe TSOP adalah
output (Out), Vs (VCC +5 volt DC), dan Ground (GND). Sensor penerima
inframerah TSOP ( TEMIC Semiconductors Optoelectronics Photomodules )
memiliki fitur-fitur utama yaitu fotodiode dan penguat dalam satu chip,
keluaran aktif rendah, konsumsi daya rendah, dan mendukung logika TTL
dan CMOS. Detektor infra merah atau sensor inframerah jenis TSOP (TEMIC
Semiconductors Optoelectronics Photomodules) adalah penerima inframerah
yang telah dilengkapi filter frekuensi 30-56 kHz, sehingga penerima
langsung mengubah frekuensi tersebut menjadi logika 0 dan 1. Jika
detektor inframerah (TSOP) menerima frekuensi carrier tersebut, maka pin
keluarannya akan berlogika 0. Sebaliknya, jika tidak menerima
frekuensi carrier tersebut, maka keluaran detektor inframerah (TSOP)
akan berlogika 1.
Grafik Respon Sensor Infrared:
Grafik
menunjukkan hubungan antara resistansi dan jarak potensial untuk
sensitivitas rentang antara pemancar dan penerima inframerah. Resistor
yang digunakan pada sensor mempengaruhi intensitas cahaya inframerah
keluar dari pemancar. Semakin tinggi resistansi yang digunakan, semakin
pendek jarak IR Receiver yang mampu mendeteksi sinar IR yang dipancarkan
dari IR Transmitter karena intensitas cahaya yang lebih rendah dari IR
Transmitter. Sementara semakin rendah resistansi yang digunakan, semakin
jauh jarak IR Receiver mampu mendeteksi sinar IR yang dipancarkan dari
IR Transmitter karena intensitas cahaya yang lebih tinggi dari IR
Transmitter.- Touch Sensor
Touch
Sensor atau Sensor Sentuh adalah sensor elektronik yang dapat
mendeteksi sentuhan. Sensor Sentuh ini pada dasarnya beroperasi sebagai
sakelar apabila disentuh, seperti sakelar pada lampu, layar sentuh
ponsel dan lain sebagainya. Sensor Sentuh ini dikenal juga sebagai
Sensor Taktil (Tactile Sensor). Seiring dengan perkembangan teknologi,
sensor sentuh ini semakin banyak digunakan dan telah menggeser peranan
sakelar mekanik pada perangkat-perangkat elektronik. spesifikasi :
Konfigurasi PIN :
Grafik Respon Sensor Touch:
Dapat dilihat bahwa pada grafik di atas saat sentuhan terdeteksi maka signal touch akan muncul.
Cara kerja:
1. Dalam keadaan normal, modul menghasilkan sinyal low (hemat daya).
4. Dilengkapi 4 lobang baut untuk memudahkan pemasangan3. Jika tidak disentuh lagi selama 12 detik kembali ke mode hemat energi.
Kelebihan:
- Konsumsi daya yang rendah
- Bisa menerima tegangan dari 2 ~ 5.5V DC
- Dapat menggantikan fungsi saklar tradisional
Rumus Tegangan sentuh maksimal 𝐸𝑆 = 𝐼𝑘( 𝑅𝑘 + 1.5 𝜌𝑠)Ket: 𝐼𝑘 = Arus fibrilasi 𝑅𝑘 = Nilai tahanan pada badan manusia 𝜌𝑠 = Tahanan Jenis tanah

Berdasarkan jenisnya, voltmeter dapat dibagi menjadi dua, yaitu:
- Voltmeter Analog: Voltmeter analog adalah voltmeter yang menunjukkan hasil pengukurannya secara analog, yaitu dengan menggunakan jarum penunjuk. Voltmeter analog memiliki akurasi yang lebih rendah daripada voltmeter digital.
- Voltmeter Digital: Voltmeter digital adalah voltmeter yang menunjukkan hasil pengukurannya secara digital, yaitu dengan menggunakan angka. Voltmeter digital memiliki akurasi yang lebih tinggi daripada voltmeter analog.
Prinsip kerja voltmeter
Prinsip kerja voltmeter adalah berdasarkan prinsip kerja galvanometer. Galvanometer adalah alat ukur yang digunakan untuk mengukur arus listrik.
Voltmeter terdiri dari dua bagian utama, yaitu:
- Galvanometer: Galvanometer adalah alat ukur yang digunakan untuk mengukur arus listrik.
- Resistor: Resistor adalah komponen elektronika yang digunakan untuk membatasi arus listrik.
Pada voltmeter analog, galvanometer dihubungkan secara seri dengan resistor. Besarnya arus listrik yang mengalir melalui galvanometer akan sebanding dengan beda potensial yang diukur. Jarum penunjuk akan bergerak sesuai dengan besarnya arus listrik yang mengalir melalui galvanometer.
Pada voltmeter digital, galvanometer dihubungkan secara paralel dengan resistor. Besarnya arus listrik yang mengalir melalui galvanometer akan sebanding dengan beda potensial yang diukur. Nilai beda potensial kemudian dikonversi menjadi angka digital dan ditampilkan pada layar.
Cara menggunakan voltmeter
Untuk menggunakan voltmeter, langkah-langkahnya adalah sebagai berikut:
- Hubungkan voltmeter ke sumber tegangan yang akan diukur.
- Atur skala pengukuran voltmeter sesuai dengan tegangan yang akan diukur.
- Baca hasil pengukuran pada layar voltmeter.
- Infrared Sensor
5VDC Operating voltage
I/O pins are 5V and 3.3V compliant
Range: Up to 20cm
Adjustable Sensing range
Built-in Ambient Light Sensor
20mA supply current
Mounting hole
Size: 50 x 20 x 10 mm (L x B x H)
Hole size: φ2.5mm
Konfigurasi pin infra red (IR) receiver atau penerima infra merah tipe TSOP adalah output (Out), Vs (VCC +5 volt DC), dan Ground (GND). Sensor penerima inframerah TSOP ( TEMIC Semiconductors Optoelectronics Photomodules ) memiliki fitur-fitur utama yaitu fotodiode dan penguat dalam satu chip, keluaran aktif rendah, konsumsi daya rendah, dan mendukung logika TTL dan CMOS. Detektor infra merah atau sensor inframerah jenis TSOP (TEMIC Semiconductors Optoelectronics Photomodules) adalah penerima inframerah yang telah dilengkapi filter frekuensi 30-56 kHz, sehingga penerima langsung mengubah frekuensi tersebut menjadi logika 0 dan 1. Jika detektor inframerah (TSOP) menerima frekuensi carrier tersebut, maka pin keluarannya akan berlogika 0. Sebaliknya, jika tidak menerima frekuensi carrier tersebut, maka keluaran detektor inframerah (TSOP) akan berlogika 1.
- Touch Sensor

Grafik Respon Sensor Touch:
Dapat dilihat bahwa pada grafik di atas saat sentuhan terdeteksi maka signal touch akan muncul.
Cara kerja:
1. Dalam keadaan normal, modul menghasilkan sinyal low (hemat daya).
4. Dilengkapi 4 lobang baut untuk memudahkan pemasangan3. Jika tidak disentuh lagi selama 12 detik kembali ke mode hemat energi.
Kelebihan:
- Konsumsi daya yang rendah
- Bisa menerima tegangan dari 2 ~ 5.5V DC
- Dapat menggantikan fungsi saklar tradisional
Rumus Tegangan sentuh maksimal 𝐸𝑆 = 𝐼𝑘( 𝑅𝑘 + 1.5 𝜌𝑠)Ket: 𝐼𝑘 = Arus fibrilasi 𝑅𝑘 = Nilai tahanan pada badan manusia 𝜌𝑠 = Tahanan Jenis tanah


Sensor Jarak (GP2D12)
Spesifikasi :
• Analog output• Effective Range: 10 to 80 cm• LED pulse cycle duration: 32 ms• Typical response time: 39 ms• Typical start up delay: 44 ms• Average current consumption: 33 mA• Detection area diameter @ 80 cm: 6 cm
Sensor jarak
seperti GP2D12 dapat digunakan untuk mengukur jarak antara objek
dengan pintu garasi. Hal ini dapat digunakan untuk
mengaktifkan fitur seperti pintu otomatis . GP2D12 memiliki bagian transmitter/emitter dan
receiver (detektor). Bagian transmitter akan memancarkan sinyal IR yang telah
dimodulasi, sedangkan pantulan dari IR (apabila mengenai sebuah objek) akan
ditangkap oleh bagian detektor yang terdiri dari lensa pemfokus dan sebuah
position-sensitive detector. Sensor Sharp GP2D12 dapat mengukur jarak
halangan pada daerah 10 cm – 80 cm dengan memanfaatkan pemancaran dan
penerimaan gelombang infra merah sebagai media untuk mengestimasi jarak. Berdasarkan datasheet Sensor Sharp GP2D12, perbandingan tegangan
keluaran sensor terhadap jarak dengan rentang jarak 10 cm – 80 cm yaitu dapat
dilihat pada gambar 2.5. Terlihat bahwa nilai tegangan sensor akan mengalami
penurunan nilai ketika jarak yang diterima sensor saat mendeteksi semakin jauh.
Sensor Jarak (GP2D12)
Spesifikasi :
• Analog output• Effective Range: 10 to 80 cm• LED pulse cycle duration: 32 ms• Typical response time: 39 ms• Typical start up delay: 44 ms• Average current consumption: 33 mA• Detection area diameter @ 80 cm: 6 cm
Sensor jarak seperti GP2D12 dapat digunakan untuk mengukur jarak antara objek dengan pintu garasi. Hal ini dapat digunakan untuk mengaktifkan fitur seperti pintu otomatis .GP2D12 memiliki bagian transmitter/emitter dan receiver (detektor). Bagian transmitter akan memancarkan sinyal IR yang telah dimodulasi, sedangkan pantulan dari IR (apabila mengenai sebuah objek) akan ditangkap oleh bagian detektor yang terdiri dari lensa pemfokus dan sebuah position-sensitive detector. Sensor Sharp GP2D12 dapat mengukur jarak halangan pada daerah 10 cm – 80 cm dengan memanfaatkan pemancaran dan penerimaan gelombang infra merah sebagai media untuk mengestimasi jarak.Berdasarkan datasheet Sensor Sharp GP2D12, perbandingan tegangan keluaran sensor terhadap jarak dengan rentang jarak 10 cm – 80 cm yaitu dapat dilihat pada gambar 2.5. Terlihat bahwa nilai tegangan sensor akan mengalami penurunan nilai ketika jarak yang diterima sensor saat mendeteksi semakin jauh.
- IC 74HC373
IC 74HC373 adalah IC latch D ganda yang dirancang untuk bekerja dengan tegangan sumber +5 volt DC. IC ini memiliki delapan pin, dengan empat pin untuk input data (D0-D3), empat pin untuk output (Q0-Q3), dan dua pin untuk kontrol (LE dan OE).
Spesifikasi 1. Operasi VCC 2-V hingga 6-V2. Rentang suhu operasi lebar dari -55°C hingga 125°C3. Penundaan propagasi dan waktu transisi yang seimbang4. Output standar dapat menggerakkan hingga 15 beban LS-TTL5. Pengurangan daya yang signifikan dibandingkan dengan IC logika TTL LS
Konfigurasi Pin
Pin-pin tersebut memiliki fungsi sebagai berikut:
Pin 1: VCC (tegangan suplai)Pin 2: GND (tegangan nol)Pin 3: D0Pin 4: E0Pin 5: Q0Pin 6: D1Pin 7: E1Pin 8: Q1......Pin 19: D7Pin 20: E7
Prinsip kerja IC 74HC373
Prinsip kerja IC 74HC373 adalah berdasarkan prinsip latch D. Dalam latch D, data pada input (D0-D3) akan diteruskan ke output (Q0-Q3) hanya jika input enable (LE) aktif. Jika input enable (LE) tidak aktif, maka output (Q0-Q3) akan tetap mempertahankan nilainya.
Tabel kebenaran IC 74HC373
Berikut adalah tabel kebenaran IC 74HC373:
Input Output LE Q0 0 0 1 D0
Penggunaan IC 74HC373
IC 74HC373 dapat digunakan untuk berbagai keperluan, antara lain:
- Menyimpan data digital
- Mengontrol peralatan elektronik
- Membangun rangkaian logika
Berikut adalah beberapa contoh penggunaan IC 74HC373:
- Dalam sebuah sistem penghitung, IC 74HC373 dapat digunakan untuk menyimpan data digital, seperti angka atau huruf.
- Dalam sebuah mesin pengukur, IC 74HC373 dapat digunakan untuk mengontrol peralatan elektronik, seperti motor atau lampu.
- Dalam sebuah rangkaian logika, IC 74HC373 dapat digunakan untuk membangun rangkaian logika yang lebih kompleks.
- IC 74LS47
IC 74LS47 adalah IC decoder BCD to 7-segment yang dirancang untuk bekerja dengan tegangan sumber +5 volt DC. IC ini memiliki 16 pin, dengan 4 pin untuk input data BCD (D0-D3), 7 pin untuk output 7-segment (A-G), dan 5 pin untuk kontrol (E, LE, R, S).
Here are the specification of IC 74LS47:
Specification
Value
Function
Decoder, Demultiplexer
Technology Family
LS
VCC (Min)
4.75V
VCC (Max)
5.25V
Channels
1
Voltage (Nom)
5V
Max Frequency at normal Voltage
35 MHz
tpd at normal Voltage (Max)
100 ns
Configuration
4:7
Type
Open-Collector
IOL (Max)
3.2 mA
IOH (Max)
-0.05 mA
Rating
Catalog
Operating temperature range (C)
0 to 70
Bits (#)
7
Digital input leakage (Max)
5 uA
ESD CDM (kV)
0.75
ESD HBM (kV)
2
Konfigurasi PIN :
IC 74LS47 Configuration
Pin No
Pin Name
Description
1
B
BCD input of the IC
2
C
BCD input of the IC
3
Display test/Lamp test
Used for testing the display LED or lamp test
4
Blank Input
Turns off the LEDs of the display
5
Store
Stores or strobes a BCD code
6
D
BCD input of the IC
7
A
BCD input of the IC
8
GND
Ground Pin
9
e
7-segment output 1
10
d
7-segment output 2
11
c
7-segment output 3
12
b
7-segment output 4
13
a
7-segment output 5
14
g
7-segment output 6
15
f
7-segment output 7
16
VCC
Supply Voltage (typically 5V)
Prinsip kerja IC 74LS47 adalah berdasarkan prinsip decoder. Dalam decoder, data input akan diubah menjadi data output yang sesuai. Pada IC 74LS47, data input BCD akan diubah menjadi data output 7-segment yang sesuai. Data output 7-segment ini dapat digunakan untuk menampilkan angka dari 0 hingga 9. IC 74LS47 dapat digunakan untuk berbagai keperluan, antara lain untuk Menampilkan angka dan Membangun rangkaian digital
Tabel kebenaran IC 74LS47
Berikut adalah tabel kebenaran IC 74LS47:
Input Output D0 A D1 B D2 C D3 D E E LE L R R S S
Berikut adalah beberapa contoh penggunaan IC 74LS47:
- Dalam sebuah jam digital, IC 74LS47 dapat digunakan untuk menampilkan angka jam dan menit.
- Dalam sebuah mesin penghitung, IC 74LS47 dapat digunakan untuk menampilkan hasil perhitungan.
- Dalam sebuah rangkaian logika, IC 74LS47 dapat digunakan untuk membangun rangkaian logika yang lebih kompleks.
Keterangan pin IC 74LS47
- Pin 1: VCC, tegangan sumber +5 volt DC
- Pin 2: GND, tegangan nol (ground)
- Pin 3: E, enable, input untuk mengaktifkan decoder
- Pin 4: LE, latch enable, input untuk menjaga nilai output tetap
- Pin 5: R, reset, input untuk mereset decoder
- Pin 6: S, serial input, input untuk mengubah nilai output secara serial
- Pin 7: A, output untuk segmen A
- Pin 8: B, output untuk segmen B
- Pin 9: C, output untuk segmen C
- Pin 10: D, output untuk segmen D
- Pin 11: E, output untuk segmen E
- Pin 12: F, output untuk segmen F
- Pin 13: G, output untuk segmen G
IC 74LS47 adalah IC yang serbaguna dan dapat digunakan untuk berbagai keperluan. IC ini memiliki harga yang relatif terjangkau dan mudah didapatkan.
- IC 74LS147
IC 74LS147 adalah IC 10-to-4 priority encoder yang dirancang untuk bekerja dengan tegangan sumber +5 volt DC. IC ini memiliki 14 pin, dengan 10 pin untuk input data (D0-D9), empat pin untuk output BCD (Y0-Y3), dan satu pin untuk kontrol (EN). Prinsip kerja IC 74LS147 adalah berdasarkan prinsip encoder. Dalam encoder, data input akan diubah menjadi data output yang sesuai. Pada IC 74LS147, data input 10-bit akan diubah menjadi data output BCD 4-bit. Data output BCD ini dapat digunakan untuk mewakili angka dari 0 hingga 9.
Spesifikasi - Technology Family: LS
- Rating: Catalog
- Supply voltage: 4.75V to 5.5V
- Frequency at nominal voltage: 35 MHz
- Typical propagation delay: 21nS
- Low power consumption: 32mW
- ESD protection
- Operating temperature: 0ºC to 70ºC
- ESD CDM (kV): 0.75
- ESD HBM (kV): 2
- Balanced propagation delays
- Designed specifically for high speed
- IOL (Max): 8mA
- IOH (Max): -0.4mA
- Bits (#): 4
- Channels (#): 2
- Configuration: 2:4 & 8:3
- Product type: Standard
Konfigurasi PIN
74LS147 Pin Configuration
Pin No Pin Name Description 1 4 Decimal Input Pin 1 2 5 Decimal Input Pin 2 3 6 Decimal Input Pin 3 4 7 Decimal Input Pin 4 5 8 Decimal Input Pin 5 6 C Output Pin C 7 B Output Pin B 8 GND Ground Pin 9 A Output Pin A 10 9 Decimal Input Pin 10 11 1 Decimal Input Pin 11 12 2 Decimal Input Pin 12 13 3 Decimal Input Pin 13 14 D Output Pin D 15 NC Not Used 16 Vcc Chip Supply Voltage
Tabel kebenaran IC 74LS147
Berikut adalah tabel kebenaran IC 74LS147:
Input Output D0 Y0 D1 Y1 D2 Y2 D3 Y3 D4 - D5 - D6 - D7 - D8 - D9 - EN -
Penggunaan IC 74LS147
IC 74LS147 dapat digunakan untuk berbagai keperluan, antara lain:
- Mengubah data input 10-bit menjadi data output BCD 4-bit
- Membangun rangkaian digital
Berikut adalah beberapa contoh penggunaan IC 74LS147:
- Dalam sebuah sistem penghitung, IC 74LS147 dapat digunakan untuk mengubah data input dari sensor menjadi data output BCD.
- Dalam sebuah rangkaian logika, IC 74LS147 dapat digunakan untuk membangun rangkaian logika yang lebih kompleks.
IC 74LS147 adalah IC yang serbaguna dan dapat digunakan untuk berbagai keperluan. IC ini memiliki harga yang relatif terjangkau dan mudah didapatkan.
- Prossesor 8088
Intel 8088 adalah mikroprosesor yang diproduksi oleh Intel Corporation pada tahun 1979. 8088 adalah versi 8-bit dari mikroprosesor 8086 yang lebih canggih. 8088 memiliki 16-bit register dan bus alamat, tetapi bus data 8-bit. 8088 digunakan dalam berbagai komputer pribadi, termasuk IBM PC dan kompatibelnya. 8088 juga digunakan dalam berbagai perangkat elektronik lainnya, seperti mesin pencetak dan pemindai.
Spesifikasi dari Prossesor 8088:
Arsitektur: 16-bitRegister:8 general purpose registers (AX, BX, CX, DX, SP, BP, SI, DI)6 segment registers (CS, DS, SS, ES, FS, GS)1 flag register (FLAGS)Data bus: 16 bitAlamat bus: 20 bitFrekuensi operasi: 5 MHz hingga 10 MHzKekuatan: 5 VProses pembuatan: NMOS
Konfigurasi PIN
Fungsi masing-masing pin dari mikroposessor 8088 adalah: 1. AD0 – AD7 adalah Bus address - data Jalur yang dimultipleks untuk menyalurkan data pada saat ALE
aktif (1) atau byte rendah address pada saat ALE tidak aktif (0)
2. A8 – A15 adalah Bus address Bit – bit dimana A8 – A15 ada selama siklus bus
3. A19/S6, A18/S5, A17/S4, A16/S3 adalah Address / Status Kaki – kaki yang multiplek yang digunakan untuk bus address bit
A16 – A19 pada saat ALE berlevel logika 1 dan untuk sisa silkus
bus lainnya digunakan bit – bit status S3 – S6. Bit status S6 selalu
berlogika 0, bit S5 menandakan kondisi dari bit flag I dan bit S3 san
S4 yang mendakan segmen yang diakses selama siklus bus yang
sedang berlangsung.
4. RD adalah Read Sinyal kontrol yang akan berlevel logika 0 pada saat data bus siap
menerima data dari memori atau I/O yang diteruskan ke
mikroprosesor.
5. WR adalah Read Sinyal kontrol yang akan berlevel logika 0 pada saat data bus siap
menerima data dari mikroprosesor yang diteruskan ke memori atau
I/O
6. READY adalah Ready
Input ini diperiksa oleh 8088 pada akhir dari siklus T2. Jika dalam
kondisi logika 0, maka siklus pembacaan atau penulisan data akan
diperpanjang sampai input ini kembali ke logika 1.
7. INTR adalah Interrup Request Satu dari dua kali yang digunakan untuk menerima interupt hard-ware. Jika INTR diberi logika 1 pada saat flag 1 set, 8088 masuk
ke siklus interupt acknowledge (INTA aktif) setelah intruksi yang
sedang berlangsung selesai.
8. TEST adalah Test Diperiksa oleh intruksi WAIT. Jika TEST berlogika 0, maka instruksi
WAIT akan meneruskan ke instruksi selanjutnya, jika TEST ‘1’,
WAIT akan menunggu sampai TEST ‘0’.
9. NMI adalah Nonmaskable Interrupt Input yang mengaktifkan interrupt tipe 2 pada akhir dari instruksi
yang sedang dilaksanakan.
10.RESET adalah Reset Kaki yang jika diberi level logika 1 untuk minimum 4 clock, akan
mereset 8088. Pada saat 8088 reset, 8088 mulai melaksanakan
instruksi pada address memori FFFF0H. Dan menon-aktifkan
interupsi dengan mereset flag 1.
11.CLK adalah Clok Sebuah input yang menyediakan pewaktu dasar untuk 8088. Clok
ini terus ber-duty-cycle 33 persen untuk memberikan pewaktu
yang benar ke 8088.
12.VCC adalah Vcc Input tegangan pencatu +5V
13.GND adalah Ground Hubungan ke ground
14.MN/-MX adalah Mode Minimum / Maksimun Pin yang digunakan untuk memilih mode operasi minimum jika
dihubungkan ke +5V dan mode maksimum jika dihubungkan ke
ground.
15.IO/-M adalah Input/Output atau Memori Pin yang menunjukkan isi dari bus address adalah informasi
pengaddress memori atau I/O
21
16.INTA adalah Interrupt Acknowledge Respon untuk INTR. Selama permintaan interupsi, pin INTA akan
berlogika 0 untuk menunjukkan bahwa bus 8088 menunggu vector-number.
17.ALE adalah Addres Latch Enable
Pin yang digunakan untuk menunjukkan bahwa bus address berisi
address memori atau alamat port I/O
18.DT/-R adalah Transmite/ - Receive
Pin yang digunakan untuk mengendalikan arah aliran data
melewati buffer data.
19.–DEN adalah Data Bus Enable
Pin yang aktif bila bus data telah berisi data
Mikroprosesor 8088 diset pada mode minimum dengan memberi
logika HIGH pada pin 33 dan logika LOW jika difungsikan dalam mode
maksimum. Untuk pengaddressan memori, mikroprosesor 8088
menyediakan 20 bit address yang 8 diantaranya dimultipleks dengan
data yaitu AD0-AD7. Sedangkan A16-A19 dimultipleks dengan sinyal
kontrol S3-S6.
Untuk pengaddressan I/O port dan memori, 8088 menggunakan
pin 28, jika pin 28 dalam kondisi HIGH maka address yang dikirim
adalah address untuk I/O port dan jika dalam kondisi LOW maka
address yang difungsikan adalah address dari memori. Selain itu 8088
juga dapat mengirimkan sinyal RD dan WR (keduanya aktif low) yang
bertujuan untuk membaca dan menulis di memori atau I/O Port.
Misalkan sistem minimum menggunakan dua buah macam
memori yaitu EPROM 27128 berkapasitas 16 K Bytes dan RAM statis
6116 yang berkapasitas 2 K Bytes. Setelah tombol RESET ditekan
maka mikroprosesor akan menunjuk pertama kali pada address
FFFF0h sehingga address tersebut harus sudah ada instruksi lompat
ke awal program. Oleh karena itu EPROM diletakkan pada bagian
terakhir memori sedangkan RAM diletakkan pada bagian awal memori
22
karena untuk penggunaan interrupt, 8088 memakai address 00000h003FFh sebagai tabel vector interrupt.
Mikroprosessor 8088 memiliki empat kelompok register 16-bit, yaitu : - Data Register - Pointer dan Index Register - Flag Register dan Instruction Pointer - Segment Register
8088 adalah mikroprosesor yang penting dalam sejarah komputer pribadi. 8088 membantu menjadikan komputer pribadi terjangkau dan populer.
Berikut adalah beberapa fitur utama dari 8088:
- Register 16-bit: 8088 memiliki 16-bit register, yang memungkinkannya untuk menangani angka dan alamat yang lebih besar daripada mikroprosesor 8-bit.
- Bus alamat 16-bit: Bus alamat 16-bit memungkinkan 8088 untuk mengakses hingga 64 KB memori.
- Bus data 8-bit: Bus data 8-bit membatasi kinerja 8088, tetapi memungkinkannya untuk digunakan dengan komponen 8-bit yang lebih murah.
- Instruksi 242: 8088 memiliki 242 instruksi, yang memberinya kemampuan untuk menjalankan berbagai tugas.
- Memori 1 MB: 8088 dapat mengakses hingga 1 MB memori, yang cukup untuk menjalankan sistem operasi dan aplikasi yang kompleks.
8088 adalah mikroprosesor yang penting dalam sejarah komputer pribadi. 8088 membantu menjadikan komputer pribadi terjangkau dan populer.
- IC 8255A
IC 8255A adalah IC programmable peripheral interface (PPI) yang dirancang untuk bekerja dengan tegangan sumber +5 volt DC. IC ini memiliki 24 pin, dengan 16 pin untuk input/output, empat pin untuk kontrol, dan empat pin untuk sumber daya.
Spesifikasi dari IC 8255A:
Arsitektur: 8 bitPort: 3 buah port 8 bitMode operasi: 3 modeFrekuensi operasi: 0 hingga 10 MHzKekuatan: 5 VProses pembuatan: NMOS
Konfigurasi PIN
Pin 1-4: VCC (tegangan suplai) Pin 5-6: GND (tegangan nol) Pin 7: RESET (reset) Pin 8: CS (chip select) Pin 9-10: A0-A1 (alamat bus)Pin 11-18: D0-D8 (data bus)Pin 19: INT (interrupt) Pin 20: MODE (mode) Pin 21: INH (input enable) Pin 22: OBF (output buffer full) Pin 23: IBF (input buffer full) Pin 24: WR (write) Pin 25: RD (read) Pin 27-30: PA0-PA7 (port A)Pin 31-36: PB0-PB7 (port B)Pin 37-40: PC0-PC7 (port C)
Prinsip kerja IC 8255A adalah berdasarkan prinsip PPI. Dalam PPI, data input dapat diubah menjadi data output, atau data input dapat digunakan untuk mengontrol peralatan elektronik.
Pada IC 8255A, data input/output dapat dikonfigurasi ke dalam berbagai mode, seperti:
- Mode Input: Mode Input memungkinkan data input dari peralatan elektronik untuk dibaca oleh mikroprosesor.
- Mode Output: Mode Output memungkinkan data output dari mikroprosesor untuk ditulis ke peralatan elektronik.
- Mode Bidirectional: Mode Bidirectional memungkinkan data input/output dikonfigurasikan secara dinamis.
Penggunaan IC 8255A
IC 8255A dapat digunakan untuk berbagai keperluan, antara lain:
- Membangun rangkaian input/output
- Mengontrol peralatan elektronik
- Membangun rangkaian logika
Berikut adalah beberapa contoh penggunaan IC 8255A:
- Dalam sebuah sistem penghitung, IC 8255A dapat digunakan untuk membaca data dari sensor atau mengontrol peralatan elektronik.
- Dalam sebuah mesin pengukur, IC 8255A dapat digunakan untuk menampilkan data ke layar atau mengontrol motor.
- Dalam sebuah rangkaian logika, IC 8255A dapat digunakan untuk membangun rangkaian logika yang lebih kompleks.
- IC 74154
IC 74154 adalah IC decoder/demultiplexer 4-line-to-16-line yang dirancang untuk bekerja dengan tegangan sumber +5 volt DC. IC ini memiliki 24 pin, dengan 4 pin untuk input data, 16 pin untuk output, dan 4 pin untuk kontrol. Prinsip kerja IC 74154 adalah berdasarkan prinsip decoder/demultiplexer. Dalam decoder/demultiplexer, data input akan diubah menjadi data output yang sesuai. Pada IC 74154, data input 4-bit akan diubah menjadi data output 16-bit. Data output 16-bit ini dapat digunakan untuk mengontrol peralatan elektronik, seperti motor, lampu, atau LED.
Spesifikasi dari IC 74154:
Arsitektur: 4-line-to-16-line decoderInput: 4-bitOutput: 16-bitFrekuensi operasi: 0 hingga 10 MHzKekuatan: 5 VProses pembuatan: NMOS
Konfigurasi PIN :
Pin 1-4: VCC (tegangan suplai)Pin 5-6: GND (tegangan nol)Pin 7: RESET (reset)Pin 8: G1 (gate 1)Pin 9: G2 (gate 2)Pin 10: A0 (input 1)Pin 11: A1 (input 2)Pin 11 IC 74154Pin 12: A2 (input 3)Pin 13: A3 (input 4)Pin 14: Y0 (output 1)Pin 15: Y1 (output 2)Pin 16: Y2 (output 3)Pin 16 IC 74154Pin 17: Y3 (output 4)Pin 18: Y4 (output 5)Pin 19: Y5 (output 6)Pin 20: Y6 (output 7)Pin 21: Y7 (output 8)Pin 22: Y8 (output 9)Pin 23: Y9 (output 10)Pin 24: Y10 (output 11)
Pin reset digunakan untuk me-reset IC 74154. Pin G1 dan G2 digunakan untuk mengontrol output IC 74154. Pin A0-A3 digunakan untuk menentukan output IC 74154. Pin Y0-Y10 digunakan untuk output IC 74154.
Berikut adalah tabel kebenaran IC 74154:
Input Output A Y0 B Y1 C Y2 D Y3 G1 Y4-Y7 G2 Y8-Y11 E Y12-Y15
Penggunaan IC 74154
IC 74154 dapat digunakan untuk berbagai keperluan, antara lain:
- Mengontrol peralatan elektronik
- Membangun rangkaian logika
Berikut adalah beberapa contoh penggunaan IC 74154:
- Dalam sebuah sistem penghitung, IC 74154 dapat digunakan untuk mengontrol motor stepper atau LED.
- Dalam sebuah mesin pengukur, IC 74154 dapat digunakan untuk mengontrol lampu atau buzzer.
- Dalam sebuah rangkaian logika, IC 74154 dapat digunakan untuk membangun rangkaian logika yang lebih kompleks.
- IC 74273
IC 74273 adalah IC flip-flop D ganda yang dirancang untuk bekerja dengan tegangan sumber +5 volt DC. IC ini memiliki 20 pin, dengan delapan pin untuk input data (D0-D7), delapan pin untuk output (Q0-Q7), dan empat pin untuk kontrol (C, R, CE, dan CLR). Prinsip kerja IC 74273 adalah berdasarkan prinsip flip-flop D. Dalam flip-flop D, data input (D) akan diteruskan ke output (Q) pada saat perubahan pulsa clock (C). Pada IC 74273, terdapat dua flip-flop D yang bekerja secara independen. Masing-masing flip-flop D memiliki input data (D0-D7), output (Q0-Q7), dan kontrol (C).
Arsitektur: Flip-flop D oktalInput: 8 dataOutput: 8 dataFrekuensi operasi: 0 hingga 10 MHzKekuatan: 5 VProses pembuatan: NMOS
Konfigurasi IC 74273 :
IC 74273 memiliki 20 pin yang berfungsi sebagai berikut:Keterangan pin IC 74273
- Pin 1: VCC, tegangan sumber +5 volt DC
- Pin 2: GND, tegangan nol (ground)
- Pin 3: C, clock input
- Pin 4: R, reset input
- Pin 5: CE, enable input
- Pin 6: D0, input data bit 0
- Pin 7: D1, input data bit 1
- Pin 8: D2, input data bit 2
- Pin 9: D3, input data bit 3
- Pin 10: D4, input data bit 4
- Pin 11: D5, input data bit 5
- Pin 12: D6, input data bit 6
- Pin 13: D7, input data bit 7
- Pin 14: Q0, output bit 0
- Pin 15: Q1, output bit 1
- Pin 16: Q2, output bit 2
- Pin 17: Q3, output bit 3
- Pin 18: Q4, output bit 4
- Pin 19: Q5, output bit 5
- Pin 20: Q6, output bit 6
- Pin 21: Q7, output bit 7
Pin reset digunakan untuk me-reset IC 74273. Pin C digunakan untuk clock IC 74273. Pin D0-D7 digunakan untuk input data IC 74273. Pin Q0-Q7 digunakan untuk output data IC 74273.
Berikut adalah tabel kebenaran IC 74273:
Input Output C Q0 D0 0 D1 0 D2 0 ... ... D7 0
Penggunaan IC 74273
IC 74273 dapat digunakan untuk berbagai keperluan, antara lain:
- Menyimpan data digital
- Mengontrol peralatan elektronik
- Membangun rangkaian logika
Berikut adalah beberapa contoh penggunaan IC 74273:
- Dalam sebuah sistem penghitung, IC 74273 dapat digunakan untuk menyimpan data digital, seperti angka atau huruf.
- Dalam sebuah mesin pengukur, IC 74273 dapat digunakan untuk mengontrol peralatan elektronik, seperti motor atau lampu.
- Dalam sebuah rangkaian logika, IC 74273 dapat digunakan untuk membangun rangkaian logika yang lebih kompleks.
- ADC 0801
ADC 0801 adalah IC analog-to-digital converter (ADC) 8-bit yang dirancang untuk bekerja dengan tegangan sumber +5 volt DC. IC ini memiliki 16 pin, dengan 8 pin untuk input data analog (A0-A7), 8 pin untuk output data digital (D0-D7), dan 2 pin untuk kontrol (EOC dan SCK).
Prinsip kerja ADC 0801 adalah berdasarkan prinsip ADC tangga. Dalam ADC tangga, input analog akan diubah menjadi data digital dengan cara membandingkannya dengan tangga tegangan digital. Pada ADC 0801, input analog akan dibandingkan dengan tangga tegangan digital yang terdiri dari 256 tingkat. Setiap tingkat tangga tegangan digital memiliki tegangan yang berbeda. Pada saat input analog lebih besar dari tegangan pada tingkat tangga digital tertentu, output ADC akan berubah dari 0 menjadi 1.
Spesifikasi dari ADC0801:
Arsitektur: SARBit: 8 bitKanal: 1Frekuensi operasi: 0 hingga 10 MHzKekuatan: 5 VProses pembuatan: NMOS
Konfigurasi PIN :Pinout IC ADC0801
- Pin 1: VCC, tegangan sumber +5 volt DC
- Pin 2: GND, tegangan nol (ground)
- Pin 3: A0, input data analog bit 0
- Pin 4: A1, input data analog bit 1
- Pin 5: A2, input data analog bit 2
- Pin 6: A3, input data analog bit 3
- Pin 7: A4, input data analog bit 4
- Pin 8: A5, input data analog bit 5
- Pin 9: A6, input data analog bit 6
- Pin 10: A7, input data analog bit 7
- Pin 11: D0, output data digital bit 0
- Pin 12: D1, output data digital bit 1
- Pin 13: D2, output data digital bit 2
- Pin 14: D3, output data digital bit 3
- Pin 15: D4, output data digital bit 4
- Pin 16: D5, output data digital bit 5
- Pin 17: D6, output data digital bit 6
- Pin 18: D7, output data digital bit 7
- Pin 19: EOC, end of conversion
- Pin 20: SCK, clock
Pin /CS digunakan untuk memilih ADC0801 yang akan diakses. Pin /RD digunakan untuk membaca data dari ADC0801. Pin /WR digunakan untuk menulis data ke ADC0801. Pin /DRDY menunjukkan bahwa data telah siap untuk dibaca. Pin AGND adalah ground untuk input analog. Pin VIN adalah input analog. Pin /C adalah clock untuk konversi ADC. Pin /RESET digunakan untuk me-reset ADC0801.
Berikut adalah tabel kebenaran ADC 0801:
Input analog Output digital 0 00000000 0.125 V 00000001 0.25 V 00000010 ... ... 4.99 V 11111110 5.0 V 11111111
Penggunaan ADC 0801
ADC 0801 dapat digunakan untuk berbagai keperluan, antara lain:
- Mengkonversi sinyal analog menjadi data digital
- Membangun sistem pengukur
- Membangun sistem kontrol
Berikut adalah beberapa contoh penggunaan ADC 0801:
- Dalam sebuah sistem pengukur suhu, ADC 0801 dapat digunakan untuk mengkonversi sinyal suhu dari sensor menjadi data digital.
- Dalam sebuah sistem kontrol motor, ADC 0801 dapat digunakan untuk mengukur posisi motor.
- Dalam sebuah sistem audio, ADC 0801 dapat digunakan untuk mengubah sinyal suara analog menjadi data digital.
- ADC0803
ADC0803 adalah IC analog-to-digital converter (ADC) 8-bit yang dirancang untuk bekerja dengan tegangan sumber +5 volt DC. IC ini memiliki 14 pin, dengan 8 pin untuk input data analog (A0-A7), 4 pin untuk kontrol (EOC, CLK, VREF, dan RESET), dan 2 pin untuk sumber daya (VCC dan GND).
Prinsip kerja ADC0803 adalah berdasarkan prinsip ADC tangga. Dalam ADC tangga, input analog akan diubah menjadi data digital dengan cara membandingkannya dengan tangga tegangan digital. Pada ADC0803, input analog akan dibandingkan dengan tangga tegangan digital yang terdiri dari 256 tingkat. Setiap tingkat tangga tegangan digital memiliki tegangan yang berbeda. Pada saat input analog lebih besar dari tegangan pada tingkat tangga digital tertentu, output ADC akan berubah dari 0 menjadi 1.
Spesifikasi dari ADC0803:
Arsitektur: SARBit: 8 bitKanal: 1Frekuensi operasi: 0 hingga 10 MHzKekuatan: 5 VProses pembuatan: NMOS
Konfigurasi PIN :
ADC0803 memiliki 20 pin yang berfungsi sebagai berikut:Keterangan pin ADC0803- Pin 1: VCC, tegangan sumber +5 volt DC
- Pin 2: GND, tegangan nol (ground)
- Pin 3: A0, input data analog bit 0
- Pin 4: A1, input data analog bit 1
- Pin 5: A2, input data analog bit 2
- Pin 6: A3, input data analog bit 3
- Pin 7: A4, input data analog bit 4
- Pin 8: A5, input data analog bit 5
- Pin 9: A6, input data analog bit 6
- Pin 10: A7, input data analog bit 7
- Pin 11: EOC, end of conversion
- Pin 12: CLK, clock
- Pin 13: VREF, reference voltage
- Pin 14: RESET, reset
Berikut adalah tabel kebenaran ADC0803:
Input analog Output digital 0 00000000 0.125 V 00000001 0.25 V 00000010 ... ... 4.99 V 11111110 5.0 V 11111111
Penggunaan ADC0803
ADC0803 dapat digunakan untuk berbagai keperluan, antara lain:
- Mengkonversi sinyal analog menjadi data digital
- Membangun sistem pengukur
- Membangun sistem kontrol
Berikut adalah beberapa contoh penggunaan ADC0803:
- Dalam sebuah sistem pengukur suhu, ADC0803 dapat digunakan untuk mengkonversi sinyal suhu dari sensor menjadi data digital.
- Dalam sebuah sistem kontrol motor, ADC0803 dapat digunakan untuk mengukur posisi motor.
- Dalam sebuah sistem audio, ADC0803 dapat digunakan untuk mengubah sinyal suara analog menjadi data digital.
- ADC0804
ADC0804 adalah IC analog-to-digital converter (ADC) 8-bit yang dirancang untuk bekerja dengan tegangan sumber +5 volt DC. IC ini memiliki 12 pin, dengan 8 pin untuk input data analog (A0-A7), 2 pin untuk kontrol (EOC dan CLK), dan 2 pin untuk sumber daya (VCC dan GND).
Prinsip kerja ADC0804 adalah berdasarkan prinsip ADC tangga. Dalam ADC tangga, input analog akan diubah menjadi data digital dengan cara membandingkannya dengan tangga tegangan digital. Pada ADC0804, input analog akan dibandingkan dengan tangga tegangan digital yang terdiri dari 256 tingkat. Setiap tingkat tangga tegangan digital memiliki tegangan yang berbeda. Pada saat input analog lebih besar dari tegangan pada tingkat tangga digital tertentu, output ADC akan berubah dari 0 menjadi 1.
Spesifikasi dari ADC0804
Arsitektur: Successive ApproximationBit: 8 bitKanal: Single-channelFrekuensi operasi: DC (konversi konstan) hingga 70 kHzTegangan suplai: 4.5 V hingga 5.5 VProses pembuatan: CMOS
Konfigurasi ADC0804 :
ADC0804 memiliki 20 pin yang berfungsi sebagai berikut:
Pin 1-4: VCC (tegangan suplai)Pin 5-6: GND (tegangan nol)Pin 7: RESET (reset)Pin 8: CLK (clock)Pin 9: VREF/2 (tegangan referensi setengahnya)Pin 10-11: A0-A1 (alamat)Pin 12: WR (write)Pin 13: RD (read)Pin 14: DRDY (data ready)Pin 15: INTR (interrupt)Pin 16: ALE (address latch enable)Pin 17-18: IN+ dan IN- (input diferensial analog)Pin 19-20: D0-D1 (data)
Berikut adalah tabel kebenaran ADC0804:
Input analog Output digital 0 00000000 0.125 V 00000001 0.25 V 00000010 ... ... 4.99 V 11111110 5.0 V 11111111
ADC0804 dapat digunakan untuk berbagai keperluan, antara lain:
- Mengkonversi sinyal analog menjadi data digital
- Membangun sistem pengukur
- Membangun sistem kontrol
Berikut adalah beberapa contoh penggunaan ADC0804:
- Dalam sebuah sistem pengukur suhu, ADC0804 dapat digunakan untuk mengkonversi sinyal suhu dari sensor menjadi data digital.
- Dalam sebuah sistem kontrol motor, ADC0804 dapat digunakan untuk mengukur posisi motor.
- Dalam sebuah sistem audio, ADC0804 dapat digunakan untuk mengubah sinyal suara analog menjadi data digital.
- KEYPAD-PHONE
Keypad-phone adalah perangkat yang memiliki keypad fisik untuk memasukkan nomor telepon atau teks. Keypad-phone biasanya memiliki tombol-tombol numerik, tombol alfanumerik, dan tombol fungsional.
Nama: Keypad-phoneType: DiscreteLibrary: DiscretePin: 12Konfigurasi:Pin 1: VCCPin 2: GNDPin 3: Baris 1Pin 4: Baris 2Pin 5: Baris 3Pin 6: Kolom 1Pin 7: Kolom 2Pin 8: Kolom 3Pin 9: Kolom 4Pin 10: Kolom 5Pin 11: Kolom 6Pin 12: Kolom 7
Keypad-phone memiliki beberapa keunggulan
- Lebih mudah digunakan: Keypad-phone lebih mudah digunakan untuk memasukkan nomor telepon atau teks, terutama bagi pengguna yang tidak terbiasa dengan layar sentuh.
- Lebih tahan lama: Keypad-phone lebih tahan lama daripada smartphone, karena tidak memiliki layar sentuh yang rentan terhadap kerusakan.
- Lebih hemat baterai: Keypad-phone lebih hemat baterai daripada smartphone, karena tidak memiliki layar sentuh yang membutuhkan daya yang besar.
Namun, keypad-phone juga memiliki beberapa kekurangan, antara lain:
- Ukurannya lebih besar: Keypad-phone memiliki ukuran yang lebih besar daripada smartphone, sehingga tidak senyaman smartphone untuk dibawa-bawa.
- Tidak memiliki fitur-fitur canggih: Keypad-phone tidak memiliki fitur-fitur canggih seperti smartphone, seperti kamera, internet, dan aplikasi.
- IC L293D
IC L293D adalah IC driver motor DC ganda yang dirancang untuk bekerja dengan tegangan sumber +5 volt DC. IC ini memiliki 16 pin, dengan 4 pin untuk input data (A, B, C, dan D), 4 pin untuk output motor (1A, 1B, 2A, dan 2B), dan 8 pin untuk kontrol (EN1, EN2, IN1, IN2, IN3, IN4, VCC, dan GND).
Prinsip kerja IC L293D adalah berdasarkan prinsip driver motor DC. Dalam driver motor DC, input data (A, B, C, dan D) akan dikonversi menjadi output motor (1A, 1B, 2A, dan 2B). Pada IC L293D, input data (A, B, C, dan D) dapat digunakan untuk mengendalikan arah dan kecepatan motor.
Arsitektur: Half-H bridgeKanal: 4Motor DC: 2Solenoid: 4Tegangan suplai: 4.5 V hingga 36 VArus maksimum: 600 mA per channel
Konfigurasi L293D :IC L293D memiliki 16 pin yang berfungsi sebagai berikut:
Pin 1-4: VCC (tegangan suplai)Pin 5-6: GND (tegangan nol)Pin 7: ENA (enable A)Pin 8: IN1 (input 1 A)Pin 9: IN2 (input 2 A)Pin 10: OUT1 (output 1 A)Pin 11: OUT2 (output 2 A)Pin 12: ENB (enable B)Pin 13: IN3 (input 1 B)Pin 14: IN4 (input 2 B)Pin 15: OUT3 (output 1 B)Pin 16: OUT4 (output 2 B)
Pin ENA dan ENB digunakan untuk mengaktifkan channel A dan B. Pin IN1, IN2, IN3, dan IN4 digunakan untuk memberikan input ke channel A dan B. Pin OUT1, OUT2, OUT3, dan OUT4 digunakan untuk mengeluarkan output dari channel A dan B.
Berikut adalah tabel kebenaran IC L293D:
Input data Output motor A = 0, B = 1 Motor 1 maju A = 1, B = 0 Motor 1 mundur A = 0, B = 0 Motor 1 berhenti A = 1, B = 1 Motor 1 mati C = 0, D = 1 Motor 2 maju C = 1, D = 0 Motor 2 mundur C = 0, D = 0 Motor 2 berhenti C = 1, D = 1 Motor 2 mati
Penggunaan IC L293D
IC L293D dapat digunakan untuk berbagai keperluan, antara lain:
- Mengontrol motor DC
- Membangun robot
- Membangun mesin
Berikut adalah beberapa contoh penggunaan IC L293D:
- Dalam sebuah robot, IC L293D dapat digunakan untuk mengendalikan motor penggerak robot.
- Dalam sebuah mesin, IC L293D dapat digunakan untuk mengendalikan motor untuk menggerakkan komponen mesin.
VIDEO TEORIInfra Red sensor
Touch Sensor
Sensor Jarak (GP2D12)
4. Percobaan[kembali]
Prinsip kerja IC 74HC373
Prinsip kerja IC 74HC373 adalah berdasarkan prinsip latch D. Dalam latch D, data pada input (D0-D3) akan diteruskan ke output (Q0-Q3) hanya jika input enable (LE) aktif. Jika input enable (LE) tidak aktif, maka output (Q0-Q3) akan tetap mempertahankan nilainya.
Tabel kebenaran IC 74HC373
Berikut adalah tabel kebenaran IC 74HC373:
| Input | Output |
|---|---|
| LE | Q0 |
| 0 | 0 |
| 1 | D0 |
Penggunaan IC 74HC373
IC 74HC373 dapat digunakan untuk berbagai keperluan, antara lain:
- Menyimpan data digital
- Mengontrol peralatan elektronik
- Membangun rangkaian logika
Berikut adalah beberapa contoh penggunaan IC 74HC373:
- Dalam sebuah sistem penghitung, IC 74HC373 dapat digunakan untuk menyimpan data digital, seperti angka atau huruf.
- Dalam sebuah mesin pengukur, IC 74HC373 dapat digunakan untuk mengontrol peralatan elektronik, seperti motor atau lampu.
- Dalam sebuah rangkaian logika, IC 74HC373 dapat digunakan untuk membangun rangkaian logika yang lebih kompleks.
- IC 74LS47
IC 74LS47 adalah IC decoder BCD to 7-segment yang dirancang untuk bekerja dengan tegangan sumber +5 volt DC. IC ini memiliki 16 pin, dengan 4 pin untuk input data BCD (D0-D3), 7 pin untuk output 7-segment (A-G), dan 5 pin untuk kontrol (E, LE, R, S).
Here are the specification of IC 74LS47:
Specification | Value |
Function | Decoder, Demultiplexer |
Technology Family | LS |
VCC (Min) | 4.75V |
VCC (Max) | 5.25V |
Channels | 1 |
Voltage (Nom) | 5V |
Max Frequency at normal Voltage | 35 MHz |
tpd at normal Voltage (Max) | 100 ns |
Configuration | 4:7 |
Type | Open-Collector |
IOL (Max) | 3.2 mA |
IOH (Max) | -0.05 mA |
Rating | Catalog |
Operating temperature range (C) | 0 to 70 |
Bits (#) | 7 |
Digital input leakage (Max) | 5 uA |
ESD CDM (kV) | 0.75 |
ESD HBM (kV) | 2 |
IC 74LS47 Configuration
Pin No | Pin Name | Description |
1 | B | BCD input of the IC |
2 | C | BCD input of the IC |
3 | Display test/Lamp test | Used for testing the display LED or lamp test |
4 | Blank Input | Turns off the LEDs of the display |
5 | Store | Stores or strobes a BCD code |
6 | D | BCD input of the IC |
7 | A | BCD input of the IC |
8 | GND | Ground Pin |
9 | e | 7-segment output 1 |
10 | d | 7-segment output 2 |
11 | c | 7-segment output 3 |
12 | b | 7-segment output 4 |
13 | a | 7-segment output 5 |
14 | g | 7-segment output 6 |
15 | f | 7-segment output 7 |
16 | VCC | Supply Voltage (typically 5V) |
Prinsip kerja IC 74LS47 adalah berdasarkan prinsip decoder. Dalam decoder, data input akan diubah menjadi data output yang sesuai. Pada IC 74LS47, data input BCD akan diubah menjadi data output 7-segment yang sesuai. Data output 7-segment ini dapat digunakan untuk menampilkan angka dari 0 hingga 9. IC 74LS47 dapat digunakan untuk berbagai keperluan, antara lain untuk Menampilkan angka dan Membangun rangkaian digital
Tabel kebenaran IC 74LS47
Berikut adalah tabel kebenaran IC 74LS47:
| Input | Output |
|---|---|
| D0 | A |
| D1 | B |
| D2 | C |
| D3 | D |
| E | E |
| LE | L |
| R | R |
| S | S |
Berikut adalah beberapa contoh penggunaan IC 74LS47:
- Dalam sebuah jam digital, IC 74LS47 dapat digunakan untuk menampilkan angka jam dan menit.
- Dalam sebuah mesin penghitung, IC 74LS47 dapat digunakan untuk menampilkan hasil perhitungan.
- Dalam sebuah rangkaian logika, IC 74LS47 dapat digunakan untuk membangun rangkaian logika yang lebih kompleks.
Keterangan pin IC 74LS47
- Pin 1: VCC, tegangan sumber +5 volt DC
- Pin 2: GND, tegangan nol (ground)
- Pin 3: E, enable, input untuk mengaktifkan decoder
- Pin 4: LE, latch enable, input untuk menjaga nilai output tetap
- Pin 5: R, reset, input untuk mereset decoder
- Pin 6: S, serial input, input untuk mengubah nilai output secara serial
- Pin 7: A, output untuk segmen A
- Pin 8: B, output untuk segmen B
- Pin 9: C, output untuk segmen C
- Pin 10: D, output untuk segmen D
- Pin 11: E, output untuk segmen E
- Pin 12: F, output untuk segmen F
- Pin 13: G, output untuk segmen G
IC 74LS47 adalah IC yang serbaguna dan dapat digunakan untuk berbagai keperluan. IC ini memiliki harga yang relatif terjangkau dan mudah didapatkan.
- Technology Family: LS
- Rating: Catalog
- Supply voltage: 4.75V to 5.5V
- Frequency at nominal voltage: 35 MHz
- Typical propagation delay: 21nS
- Low power consumption: 32mW
- ESD protection
- Operating temperature: 0ºC to 70ºC
- ESD CDM (kV): 0.75
- ESD HBM (kV): 2
- Balanced propagation delays
- Designed specifically for high speed
- IOL (Max): 8mA
- IOH (Max): -0.4mA
- Bits (#): 4
- Channels (#): 2
- Configuration: 2:4 & 8:3
- Product type: Standard
74LS147 Pin Configuration
| Pin No | Pin Name | Description |
|---|---|---|
| 1 | 4 | Decimal Input Pin 1 |
| 2 | 5 | Decimal Input Pin 2 |
| 3 | 6 | Decimal Input Pin 3 |
| 4 | 7 | Decimal Input Pin 4 |
| 5 | 8 | Decimal Input Pin 5 |
| 6 | C | Output Pin C |
| 7 | B | Output Pin B |
| 8 | GND | Ground Pin |
| 9 | A | Output Pin A |
| 10 | 9 | Decimal Input Pin 10 |
| 11 | 1 | Decimal Input Pin 11 |
| 12 | 2 | Decimal Input Pin 12 |
| 13 | 3 | Decimal Input Pin 13 |
| 14 | D | Output Pin D |
| 15 | NC | Not Used |
| 16 | Vcc | Chip Supply Voltage |
Tabel kebenaran IC 74LS147
Berikut adalah tabel kebenaran IC 74LS147:
| Input | Output |
|---|---|
| D0 | Y0 |
| D1 | Y1 |
| D2 | Y2 |
| D3 | Y3 |
| D4 | - |
| D5 | - |
| D6 | - |
| D7 | - |
| D8 | - |
| D9 | - |
| EN | - |
Penggunaan IC 74LS147
IC 74LS147 dapat digunakan untuk berbagai keperluan, antara lain:
- Mengubah data input 10-bit menjadi data output BCD 4-bit
- Membangun rangkaian digital
Berikut adalah beberapa contoh penggunaan IC 74LS147:
- Dalam sebuah sistem penghitung, IC 74LS147 dapat digunakan untuk mengubah data input dari sensor menjadi data output BCD.
- Dalam sebuah rangkaian logika, IC 74LS147 dapat digunakan untuk membangun rangkaian logika yang lebih kompleks.
IC 74LS147 adalah IC yang serbaguna dan dapat digunakan untuk berbagai keperluan. IC ini memiliki harga yang relatif terjangkau dan mudah didapatkan.

8088 adalah mikroprosesor yang penting dalam sejarah komputer pribadi. 8088 membantu menjadikan komputer pribadi terjangkau dan populer.
Berikut adalah beberapa fitur utama dari 8088:
- Register 16-bit: 8088 memiliki 16-bit register, yang memungkinkannya untuk menangani angka dan alamat yang lebih besar daripada mikroprosesor 8-bit.
- Bus alamat 16-bit: Bus alamat 16-bit memungkinkan 8088 untuk mengakses hingga 64 KB memori.
- Bus data 8-bit: Bus data 8-bit membatasi kinerja 8088, tetapi memungkinkannya untuk digunakan dengan komponen 8-bit yang lebih murah.
- Instruksi 242: 8088 memiliki 242 instruksi, yang memberinya kemampuan untuk menjalankan berbagai tugas.
- Memori 1 MB: 8088 dapat mengakses hingga 1 MB memori, yang cukup untuk menjalankan sistem operasi dan aplikasi yang kompleks.
8088 adalah mikroprosesor yang penting dalam sejarah komputer pribadi. 8088 membantu menjadikan komputer pribadi terjangkau dan populer.
Prinsip kerja IC 8255A adalah berdasarkan prinsip PPI. Dalam PPI, data input dapat diubah menjadi data output, atau data input dapat digunakan untuk mengontrol peralatan elektronik.
Pada IC 8255A, data input/output dapat dikonfigurasi ke dalam berbagai mode, seperti:
- Mode Input: Mode Input memungkinkan data input dari peralatan elektronik untuk dibaca oleh mikroprosesor.
- Mode Output: Mode Output memungkinkan data output dari mikroprosesor untuk ditulis ke peralatan elektronik.
- Mode Bidirectional: Mode Bidirectional memungkinkan data input/output dikonfigurasikan secara dinamis.
Penggunaan IC 8255A
IC 8255A dapat digunakan untuk berbagai keperluan, antara lain:
- Membangun rangkaian input/output
- Mengontrol peralatan elektronik
- Membangun rangkaian logika
Berikut adalah beberapa contoh penggunaan IC 8255A:
- Dalam sebuah sistem penghitung, IC 8255A dapat digunakan untuk membaca data dari sensor atau mengontrol peralatan elektronik.
- Dalam sebuah mesin pengukur, IC 8255A dapat digunakan untuk menampilkan data ke layar atau mengontrol motor.
- Dalam sebuah rangkaian logika, IC 8255A dapat digunakan untuk membangun rangkaian logika yang lebih kompleks.
Berikut adalah tabel kebenaran IC 74154:
| Input | Output |
|---|---|
| A | Y0 |
| B | Y1 |
| C | Y2 |
| D | Y3 |
| G1 | Y4-Y7 |
| G2 | Y8-Y11 |
| E | Y12-Y15 |
Penggunaan IC 74154
IC 74154 dapat digunakan untuk berbagai keperluan, antara lain:
- Mengontrol peralatan elektronik
- Membangun rangkaian logika
Berikut adalah beberapa contoh penggunaan IC 74154:
- Dalam sebuah sistem penghitung, IC 74154 dapat digunakan untuk mengontrol motor stepper atau LED.
- Dalam sebuah mesin pengukur, IC 74154 dapat digunakan untuk mengontrol lampu atau buzzer.
- Dalam sebuah rangkaian logika, IC 74154 dapat digunakan untuk membangun rangkaian logika yang lebih kompleks.
Keterangan pin IC 74273
- Pin 1: VCC, tegangan sumber +5 volt DC
- Pin 2: GND, tegangan nol (ground)
- Pin 3: C, clock input
- Pin 4: R, reset input
- Pin 5: CE, enable input
- Pin 6: D0, input data bit 0
- Pin 7: D1, input data bit 1
- Pin 8: D2, input data bit 2
- Pin 9: D3, input data bit 3
- Pin 10: D4, input data bit 4
- Pin 11: D5, input data bit 5
- Pin 12: D6, input data bit 6
- Pin 13: D7, input data bit 7
- Pin 14: Q0, output bit 0
- Pin 15: Q1, output bit 1
- Pin 16: Q2, output bit 2
- Pin 17: Q3, output bit 3
- Pin 18: Q4, output bit 4
- Pin 19: Q5, output bit 5
- Pin 20: Q6, output bit 6
- Pin 21: Q7, output bit 7
Berikut adalah tabel kebenaran IC 74273:
| Input | Output |
|---|---|
| C | Q0 |
| D0 | 0 |
| D1 | 0 |
| D2 | 0 |
| ... | ... |
| D7 | 0 |
Penggunaan IC 74273
IC 74273 dapat digunakan untuk berbagai keperluan, antara lain:
- Menyimpan data digital
- Mengontrol peralatan elektronik
- Membangun rangkaian logika
Berikut adalah beberapa contoh penggunaan IC 74273:
- Dalam sebuah sistem penghitung, IC 74273 dapat digunakan untuk menyimpan data digital, seperti angka atau huruf.
- Dalam sebuah mesin pengukur, IC 74273 dapat digunakan untuk mengontrol peralatan elektronik, seperti motor atau lampu.
- Dalam sebuah rangkaian logika, IC 74273 dapat digunakan untuk membangun rangkaian logika yang lebih kompleks.
ADC 0801 adalah IC analog-to-digital converter (ADC) 8-bit yang dirancang untuk bekerja dengan tegangan sumber +5 volt DC. IC ini memiliki 16 pin, dengan 8 pin untuk input data analog (A0-A7), 8 pin untuk output data digital (D0-D7), dan 2 pin untuk kontrol (EOC dan SCK).
Prinsip kerja ADC 0801 adalah berdasarkan prinsip ADC tangga. Dalam ADC tangga, input analog akan diubah menjadi data digital dengan cara membandingkannya dengan tangga tegangan digital. Pada ADC 0801, input analog akan dibandingkan dengan tangga tegangan digital yang terdiri dari 256 tingkat. Setiap tingkat tangga tegangan digital memiliki tegangan yang berbeda. Pada saat input analog lebih besar dari tegangan pada tingkat tangga digital tertentu, output ADC akan berubah dari 0 menjadi 1.
- Pin 1: VCC, tegangan sumber +5 volt DC
- Pin 2: GND, tegangan nol (ground)
- Pin 3: A0, input data analog bit 0
- Pin 4: A1, input data analog bit 1
- Pin 5: A2, input data analog bit 2
- Pin 6: A3, input data analog bit 3
- Pin 7: A4, input data analog bit 4
- Pin 8: A5, input data analog bit 5
- Pin 9: A6, input data analog bit 6
- Pin 10: A7, input data analog bit 7
- Pin 11: D0, output data digital bit 0
- Pin 12: D1, output data digital bit 1
- Pin 13: D2, output data digital bit 2
- Pin 14: D3, output data digital bit 3
- Pin 15: D4, output data digital bit 4
- Pin 16: D5, output data digital bit 5
- Pin 17: D6, output data digital bit 6
- Pin 18: D7, output data digital bit 7
- Pin 19: EOC, end of conversion
- Pin 20: SCK, clock
Berikut adalah tabel kebenaran ADC 0801:
| Input analog | Output digital |
|---|---|
| 0 | 00000000 |
| 0.125 V | 00000001 |
| 0.25 V | 00000010 |
| ... | ... |
| 4.99 V | 11111110 |
| 5.0 V | 11111111 |
Penggunaan ADC 0801
ADC 0801 dapat digunakan untuk berbagai keperluan, antara lain:
- Mengkonversi sinyal analog menjadi data digital
- Membangun sistem pengukur
- Membangun sistem kontrol
Berikut adalah beberapa contoh penggunaan ADC 0801:
- Dalam sebuah sistem pengukur suhu, ADC 0801 dapat digunakan untuk mengkonversi sinyal suhu dari sensor menjadi data digital.
- Dalam sebuah sistem kontrol motor, ADC 0801 dapat digunakan untuk mengukur posisi motor.
- Dalam sebuah sistem audio, ADC 0801 dapat digunakan untuk mengubah sinyal suara analog menjadi data digital.
ADC0803 adalah IC analog-to-digital converter (ADC) 8-bit yang dirancang untuk bekerja dengan tegangan sumber +5 volt DC. IC ini memiliki 14 pin, dengan 8 pin untuk input data analog (A0-A7), 4 pin untuk kontrol (EOC, CLK, VREF, dan RESET), dan 2 pin untuk sumber daya (VCC dan GND).
Prinsip kerja ADC0803 adalah berdasarkan prinsip ADC tangga. Dalam ADC tangga, input analog akan diubah menjadi data digital dengan cara membandingkannya dengan tangga tegangan digital. Pada ADC0803, input analog akan dibandingkan dengan tangga tegangan digital yang terdiri dari 256 tingkat. Setiap tingkat tangga tegangan digital memiliki tegangan yang berbeda. Pada saat input analog lebih besar dari tegangan pada tingkat tangga digital tertentu, output ADC akan berubah dari 0 menjadi 1.
Konfigurasi PIN :
- Pin 1: VCC, tegangan sumber +5 volt DC
- Pin 2: GND, tegangan nol (ground)
- Pin 3: A0, input data analog bit 0
- Pin 4: A1, input data analog bit 1
- Pin 5: A2, input data analog bit 2
- Pin 6: A3, input data analog bit 3
- Pin 7: A4, input data analog bit 4
- Pin 8: A5, input data analog bit 5
- Pin 9: A6, input data analog bit 6
- Pin 10: A7, input data analog bit 7
- Pin 11: EOC, end of conversion
- Pin 12: CLK, clock
- Pin 13: VREF, reference voltage
- Pin 14: RESET, reset
Berikut adalah tabel kebenaran ADC0803:
| Input analog | Output digital |
|---|---|
| 0 | 00000000 |
| 0.125 V | 00000001 |
| 0.25 V | 00000010 |
| ... | ... |
| 4.99 V | 11111110 |
| 5.0 V | 11111111 |
Penggunaan ADC0803
ADC0803 dapat digunakan untuk berbagai keperluan, antara lain:
- Mengkonversi sinyal analog menjadi data digital
- Membangun sistem pengukur
- Membangun sistem kontrol
Berikut adalah beberapa contoh penggunaan ADC0803:
- Dalam sebuah sistem pengukur suhu, ADC0803 dapat digunakan untuk mengkonversi sinyal suhu dari sensor menjadi data digital.
- Dalam sebuah sistem kontrol motor, ADC0803 dapat digunakan untuk mengukur posisi motor.
- Dalam sebuah sistem audio, ADC0803 dapat digunakan untuk mengubah sinyal suara analog menjadi data digital.
ADC0804 adalah IC analog-to-digital converter (ADC) 8-bit yang dirancang untuk bekerja dengan tegangan sumber +5 volt DC. IC ini memiliki 12 pin, dengan 8 pin untuk input data analog (A0-A7), 2 pin untuk kontrol (EOC dan CLK), dan 2 pin untuk sumber daya (VCC dan GND).
Prinsip kerja ADC0804 adalah berdasarkan prinsip ADC tangga. Dalam ADC tangga, input analog akan diubah menjadi data digital dengan cara membandingkannya dengan tangga tegangan digital. Pada ADC0804, input analog akan dibandingkan dengan tangga tegangan digital yang terdiri dari 256 tingkat. Setiap tingkat tangga tegangan digital memiliki tegangan yang berbeda. Pada saat input analog lebih besar dari tegangan pada tingkat tangga digital tertentu, output ADC akan berubah dari 0 menjadi 1.
Berikut adalah tabel kebenaran ADC0804:
| Input analog | Output digital |
|---|---|
| 0 | 00000000 |
| 0.125 V | 00000001 |
| 0.25 V | 00000010 |
| ... | ... |
| 4.99 V | 11111110 |
| 5.0 V | 11111111 |
ADC0804 dapat digunakan untuk berbagai keperluan, antara lain:
- Mengkonversi sinyal analog menjadi data digital
- Membangun sistem pengukur
- Membangun sistem kontrol
Berikut adalah beberapa contoh penggunaan ADC0804:
- Dalam sebuah sistem pengukur suhu, ADC0804 dapat digunakan untuk mengkonversi sinyal suhu dari sensor menjadi data digital.
- Dalam sebuah sistem kontrol motor, ADC0804 dapat digunakan untuk mengukur posisi motor.
- Dalam sebuah sistem audio, ADC0804 dapat digunakan untuk mengubah sinyal suara analog menjadi data digital.
Keypad-phone memiliki beberapa keunggulan
- Lebih mudah digunakan: Keypad-phone lebih mudah digunakan untuk memasukkan nomor telepon atau teks, terutama bagi pengguna yang tidak terbiasa dengan layar sentuh.
- Lebih tahan lama: Keypad-phone lebih tahan lama daripada smartphone, karena tidak memiliki layar sentuh yang rentan terhadap kerusakan.
- Lebih hemat baterai: Keypad-phone lebih hemat baterai daripada smartphone, karena tidak memiliki layar sentuh yang membutuhkan daya yang besar.
Namun, keypad-phone juga memiliki beberapa kekurangan, antara lain:
- Ukurannya lebih besar: Keypad-phone memiliki ukuran yang lebih besar daripada smartphone, sehingga tidak senyaman smartphone untuk dibawa-bawa.
- Tidak memiliki fitur-fitur canggih: Keypad-phone tidak memiliki fitur-fitur canggih seperti smartphone, seperti kamera, internet, dan aplikasi.
IC L293D adalah IC driver motor DC ganda yang dirancang untuk bekerja dengan tegangan sumber +5 volt DC. IC ini memiliki 16 pin, dengan 4 pin untuk input data (A, B, C, dan D), 4 pin untuk output motor (1A, 1B, 2A, dan 2B), dan 8 pin untuk kontrol (EN1, EN2, IN1, IN2, IN3, IN4, VCC, dan GND).
Prinsip kerja IC L293D adalah berdasarkan prinsip driver motor DC. Dalam driver motor DC, input data (A, B, C, dan D) akan dikonversi menjadi output motor (1A, 1B, 2A, dan 2B). Pada IC L293D, input data (A, B, C, dan D) dapat digunakan untuk mengendalikan arah dan kecepatan motor.
Berikut adalah tabel kebenaran IC L293D:
| Input data | Output motor |
|---|---|
| A = 0, B = 1 | Motor 1 maju |
| A = 1, B = 0 | Motor 1 mundur |
| A = 0, B = 0 | Motor 1 berhenti |
| A = 1, B = 1 | Motor 1 mati |
| C = 0, D = 1 | Motor 2 maju |
| C = 1, D = 0 | Motor 2 mundur |
| C = 0, D = 0 | Motor 2 berhenti |
| C = 1, D = 1 | Motor 2 mati |
Penggunaan IC L293D
IC L293D dapat digunakan untuk berbagai keperluan, antara lain:
- Mengontrol motor DC
- Membangun robot
- Membangun mesin
Berikut adalah beberapa contoh penggunaan IC L293D:
- Dalam sebuah robot, IC L293D dapat digunakan untuk mengendalikan motor penggerak robot.
- Dalam sebuah mesin, IC L293D dapat digunakan untuk mengendalikan motor untuk menggerakkan komponen mesin.
4. Percobaan[kembali]
SENSOR INFRARED
Prinsip kerja umum dari sensor infrared adalah sebagai berikut:
Pembangkitan Radiasi Inframerah: Sensor infrared memiliki komponen pengirim (infrared emitter) yang menghasilkan radiasi inframerah. Pada umumnya, ini adalah dioda inframerah (IR LED) yang menghasilkan gelombang inframerah saat diberi tegangan. Sinar ini diarahkan ke area di depan pintu garasi yang ingin dideteksi.
Deteksi Radiasi Inframerah: Sejajar dengan komponen pengirim, terdapat komponen penerima (infrared receiver) yang dapat mendeteksi radiasi inframerah. Komponen penerima ini sering kali berupa fotodioda atau fototransistor. Ketika ada kendaraan atau benda lain yang memasuki area yang dideteksi, sinar inframerah akan terpantul kembali ke sensor. Sensor ini menggunakan fotodioda untuk mendeteksi pantulan sinar inframerah.
Prinsip Pemantulan atau Pemantauan: Sensor infrared dapat bekerja dengan prinsip pemantulan atau pemantauan. Dalam aplikasi kontrol garasi otomatis, pemantulan mungkin dilakukan dengan memantulkan sinar infrared dari kendaraan atau objek yang memasuki jangkauan sensor. Sebaliknya, dalam pemantauan, sensor terus memonitor adanya radiasi inframerah dan memberikan respons ketika ada perubahan.
Konversi Sinyal Inframerah ke Sinyal Listrik: Radiasi inframerah yang diterima oleh komponen penerima diubah menjadi sinyal listrik. Proses ini dapat melibatkan fotodioda yang menghasilkan arus listrik ketika terkena radiasi inframerah.
Pemrosesan Sinyal: Sinyal listrik yang dihasilkan kemudian diproses oleh rangkaian elektronik di sensor. Pemrosesan ini dapat mencakup penguatan sinyal dan pengaturan ambang batas untuk menentukan apakah ada objek yang mendekati atau tidak.
Pengaturan Ambang Batas (Threshold): Sensor infrared umumnya dilengkapi dengan pengaturan ambang batas yang dapat diatur. Ambang batas ini menentukan tingkat radiasi inframerah yang dianggap sebagai sinyal yang signifikan. Ketika sinyal yang diterima melewati ambang batas ini, sensor memberikan respons.
Respon: Bila sensor mendeteksi adanya objek yang melewati ambang batas, sistem kontrol garasi otomatis dapat memberikan perintah untuk membuka atau menutup pintu garasi sesuai dengan desain dan kebutuhan aplikasi
Prinsip kerja dari rangkaian di atas adalah, ketika tombol pada keypad ditekan maka nilai yang ditekan pada keypad akan ditampilkan pada 7-Segment. Prinsipnya, pertama mikrokontroler mengirimkan alamat untuk mengakses I/O IC 8255 melewati A0-A15, kemudian masuk ke IC 74273 D0-D7. Alamat tersebut akan dilewatkan dari D0-D7 ke Q0-Q7 apabila sinyal kontrol alih dikeluarkan oleh pin ALE mikroprosesor dan diinverterkan sebelum diumpankan ke CLK IC 74273. Apabila telah aktif sinyal CLK, maka alamat akan ditahan di Q0-Q7 IC 74273. kemudian jika Q1-Q5 IC 74273 yang membawa alamat dari AD9-AD11 dihubungkan dengan decoder 74154. maka ketika nilai AD9-AD11 ini berlogika 0 semua dan E1 E1 IC ini juga berlogika 0, maka pin 0 IC 75154 akan berlogika nol yang kemudian pin ini dihubingkan dengan CS pada IC 8255. sehingga alamat yang dikirimkan adalah untuk akses IC 8255. Kemudian untuk mengirim data dari Mikroprosesor 8086 ke IC I/O 8255, pin AD0-AD7 mikroprosesor dihubungkan dengan pin D0-D7 IC 8255. PORTA IC 8255 menjadi output bagi mikroprosesor untuk kemudian dihubungkan dengan output keypad dan PORTB pada IC ini dihubungkan dengan input Keypad serta PORTC pada IC ini sebagai output yang dihubungkan dengan 7-Segment.
KEYPAD
Rangkaian Keypad untuk membuka dan menutup pintu garasi,dimana saat kita menekan tombol 6 maka pintu akan terbuka dengan ditandai dengan bergeraknya motor stepper 45 derjat. dan ketika pencet selain 6 maka akan menutup pintu farm ditandai dengan bergeraknya motor stepper 135 derjat.
Prinsip kerja dari rangkaian di atas adalah, ketika tombol pada keypad ditekan maka nilai yang ditekan pada keypad akan ditampilkan pada 7-Segment. Prinsipnya, pertama mikrokontroler mengirimkan alamat untuk mengakses I/O IC 8255 melewati A0-A15, kemudian masuk ke IC 74273 D0-D7. Alamat tersebut akan dilewatkan dari D0-D7 ke Q0-Q7 apabila sinyal kontrol alih dikeluarkan oleh pin ALE mikroprosesor dan diinverterkan sebelum diumpankan ke CLK IC 74273. Apabila telah aktif sinyal CLK, maka alamat akan ditahan di Q0-Q7 IC 74273. kemudian jika Q1-Q5 IC 74273 yang membawa alamat dari AD9-AD11 dihubungkan dengan decoder 74154. maka ketika nilai AD9-AD11 ini berlogika 0 semua dan E1 E1 IC ini juga berlogika 0, maka pin 0 IC 75154 akan berlogika nol yang kemudian pin ini dihubingkan dengan CS pada IC 8255. sehingga alamat yang dikirimkan adalah untuk akses IC 8255.
Kemudian untuk mengirim data dari Mikroprosesor 8086 ke IC I/O 8255, pin AD0-AD7 mikroprosesor dihubungkan dengan pin D0-D7 IC 8255. PORTA IC 8255 menjadi output bagi mikroprosesor untuk kemudian dihubungkan dengan output keypad dan PORTB pada IC ini dihubungkan dengan input Keypad serta PORTC pada IC ini sebagai output yang dihubungkan dengan 7-Segment.
SENSOR TOUCH
Prinsip kerja sensor sentuh pada aplikasi kontrol garasi otomatis :
Prinsip kerja dari rangkaian di atas adalah, ketika tombol pada keypad ditekan maka nilai yang ditekan pada keypad akan ditampilkan pada 7-Segment. Prinsipnya, pertama mikrokontroler mengirimkan alamat untuk mengakses I/O IC 8255 melewati A0-A15, kemudian masuk ke IC 74273 D0-D7. Alamat tersebut akan dilewatkan dari D0-D7 ke Q0-Q7 apabila sinyal kontrol alih dikeluarkan oleh pin ALE mikroprosesor dan diinverterkan sebelum diumpankan ke CLK IC 74273. Apabila telah aktif sinyal CLK, maka alamat akan ditahan di Q0-Q7 IC 74273. kemudian jika Q1-Q5 IC 74273 yang membawa alamat dari AD9-AD11 dihubungkan dengan decoder 74154. maka ketika nilai AD9-AD11 ini berlogika 0 semua dan E1 E1 IC ini juga berlogika 0, maka pin 0 IC 75154 akan berlogika nol yang kemudian pin ini dihubingkan dengan CS pada IC 8255. sehingga alamat yang dikirimkan adalah untuk akses IC 8255. Kemudian untuk mengirim data dari Mikroprosesor 8086 ke IC I/O 8255, pin AD0-AD7 mikroprosesor dihubungkan dengan pin D0-D7 IC 8255. PORTA IC 8255 menjadi output bagi mikroprosesor untuk kemudian dihubungkan dengan output keypad dan PORTB pada IC ini dihubungkan dengan input Keypad serta PORTC pada IC ini sebagai output yang dihubungkan dengan 7-Segment.
- Berdasarkan intensitas pantulan, sensor menghasilkan tegangan keluaran analog yang berkorelasi dengan jarak objek.
- Semakin dekat objek, tegangan keluaran akan semakin tinggi, dan sebaliknya.




.jpg)























































Komentar
Posting Komentar